Open Access

Fig. 2.

image

Download original image

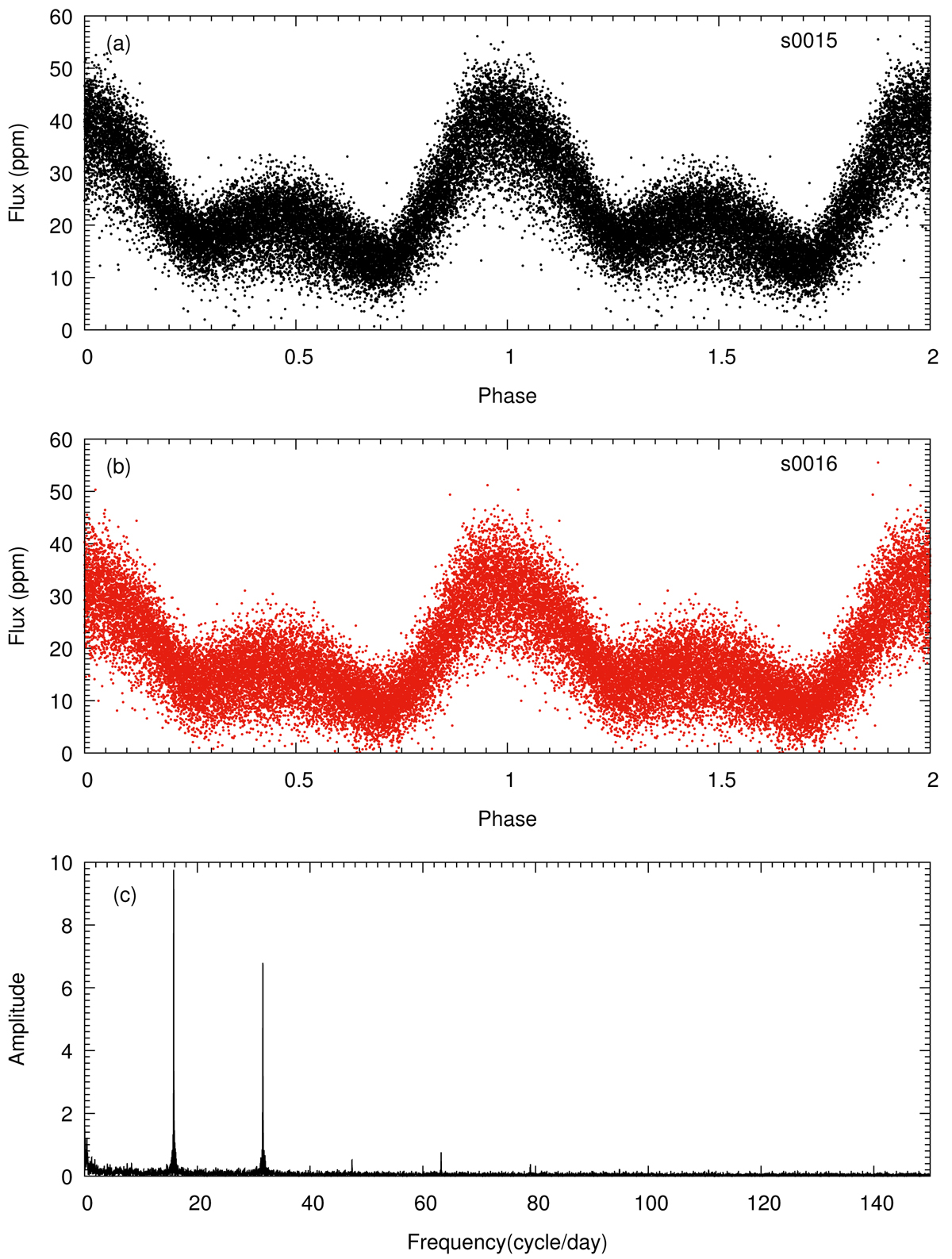
TESS light curves of V496 UMa. (a) and (b) show folded TESS light curve of V496 UMa. The black and red dots indicate a continuous observation period of approximately two months. (c) Power spectrum of V496 UMa. The highest amplitude frequency indicates the 91-min period.

Current usage metrics show cumulative count of Article Views (full-text article views including HTML views, PDF and ePub downloads, according to the available data) and Abstracts Views on Vision4Press platform.

Data correspond to usage on the plateform after 2015. The current usage metrics is available 48-96 hours after online publication and is updated daily on week days.

Initial download of the metrics may take a while.