Free Access

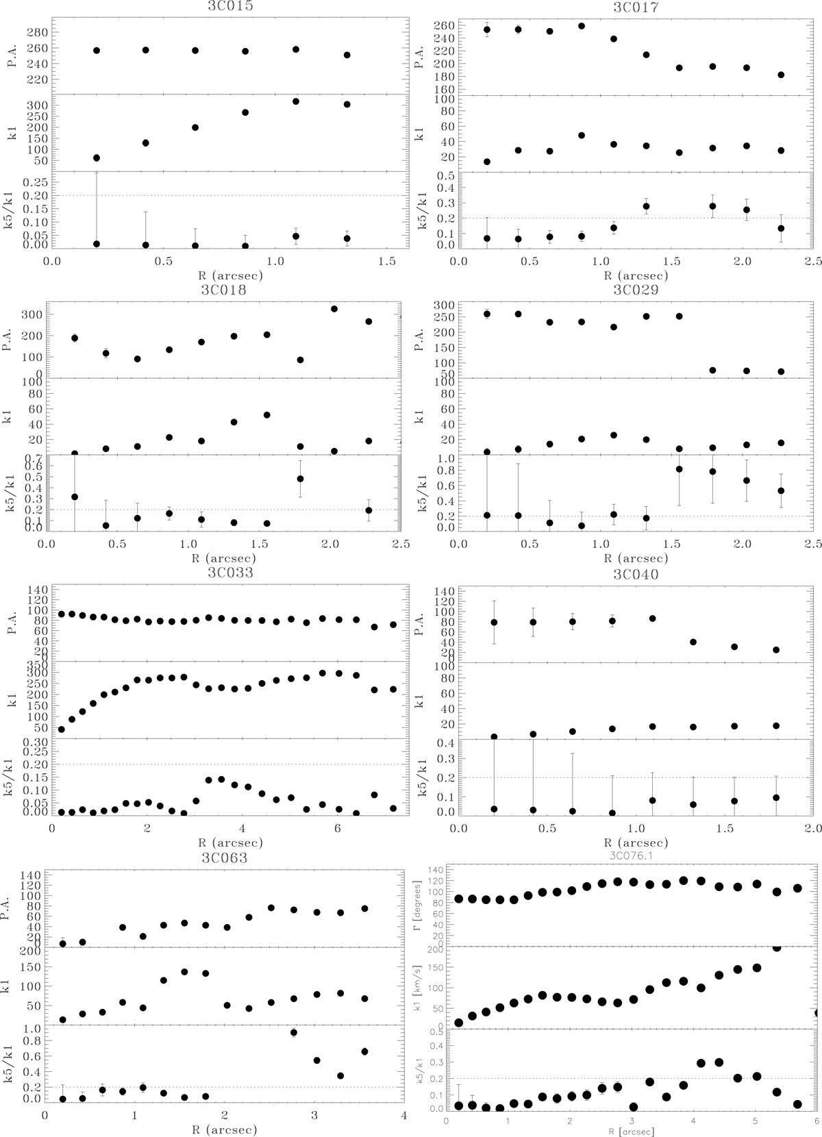
Fig. C.1.

image

Download original image

Results obtained for 36 radio galaxies (all but 3C 089) with the kinemetry software. From top to bottom in each panel: the kinematic position angle PA (in degrees), the amplitude of the rotation curve (in km s−1), and the ratio between the fifth and first coefficient k5/k1, which quantifies the deviations from simple rotation.

Current usage metrics show cumulative count of Article Views (full-text article views including HTML views, PDF and ePub downloads, according to the available data) and Abstracts Views on Vision4Press platform.

Data correspond to usage on the plateform after 2015. The current usage metrics is available 48-96 hours after online publication and is updated daily on week days.

Initial download of the metrics may take a while.