Free Access

Fig. 7.

image

Download original image

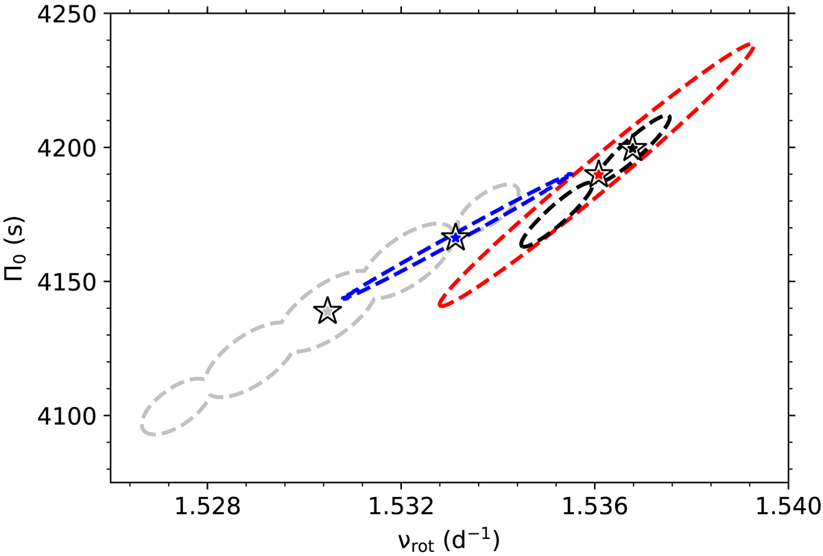
Confidence intervals for the best-fitting models of the pulsation frequencies, measured from TESS sectors 14−15 (light grey), sectors 14−15, 21−22 (black), sectors 14−15, 21−22 and 41 (red), and the spectroscopic data (blue). Confidence intervals at 3-σ are indicated by dashed lines, while the stars mark the best-fitting models.

Current usage metrics show cumulative count of Article Views (full-text article views including HTML views, PDF and ePub downloads, according to the available data) and Abstracts Views on Vision4Press platform.

Data correspond to usage on the plateform after 2015. The current usage metrics is available 48-96 hours after online publication and is updated daily on week days.

Initial download of the metrics may take a while.