Highlight
Free Access

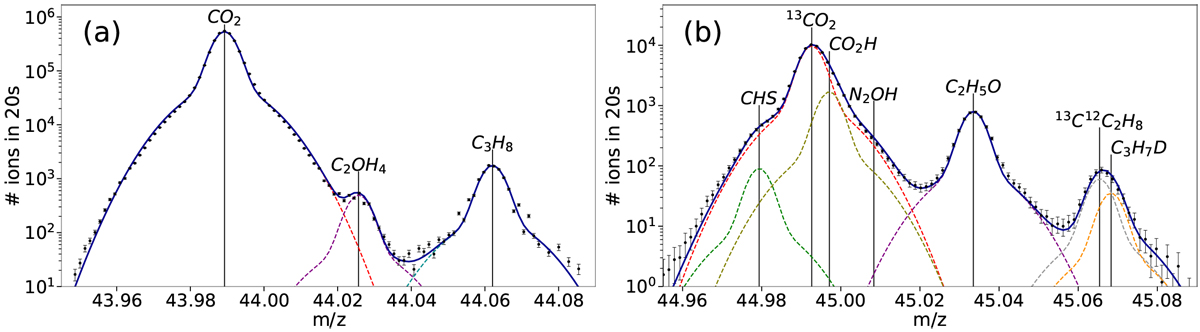
Fig. A.2

image

Download original image

Sample mass spectra for m/z 44 and 45 showing the signatures of the isotopologues of propane. Panel a: m/z 44 from 2016-03-20 15:24 (UTC). Panel b: m/z 45 from 2016-03-20 15:24 (UTC). Measured data are represented by black dots including their statistical uncertainties. The individual mass fits and the total sum of the fits are shown with coloured lines.

Current usage metrics show cumulative count of Article Views (full-text article views including HTML views, PDF and ePub downloads, according to the available data) and Abstracts Views on Vision4Press platform.

Data correspond to usage on the plateform after 2015. The current usage metrics is available 48-96 hours after online publication and is updated daily on week days.

Initial download of the metrics may take a while.