Open Access

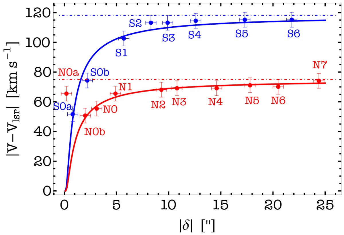
Fig. 5

image

Download original image

Distribution of knot velocity peaks along the main jet axis as a function of distance δ to Cep E-A in the northern (red) and southern (blue) jet components. The best fit to the northern (southern) jet velocity relative to the source (VVlsr)/V0 = exp(−δ0/δ) with δ0 = 693 au (δ0= 590 au) and V0 = +75 km s−1 (V0 = −118 km s−1) is drawn by the solid curve.

Current usage metrics show cumulative count of Article Views (full-text article views including HTML views, PDF and ePub downloads, according to the available data) and Abstracts Views on Vision4Press platform.

Data correspond to usage on the plateform after 2015. The current usage metrics is available 48-96 hours after online publication and is updated daily on week days.

Initial download of the metrics may take a while.