Open Access

Fig. 5

image

Download original image

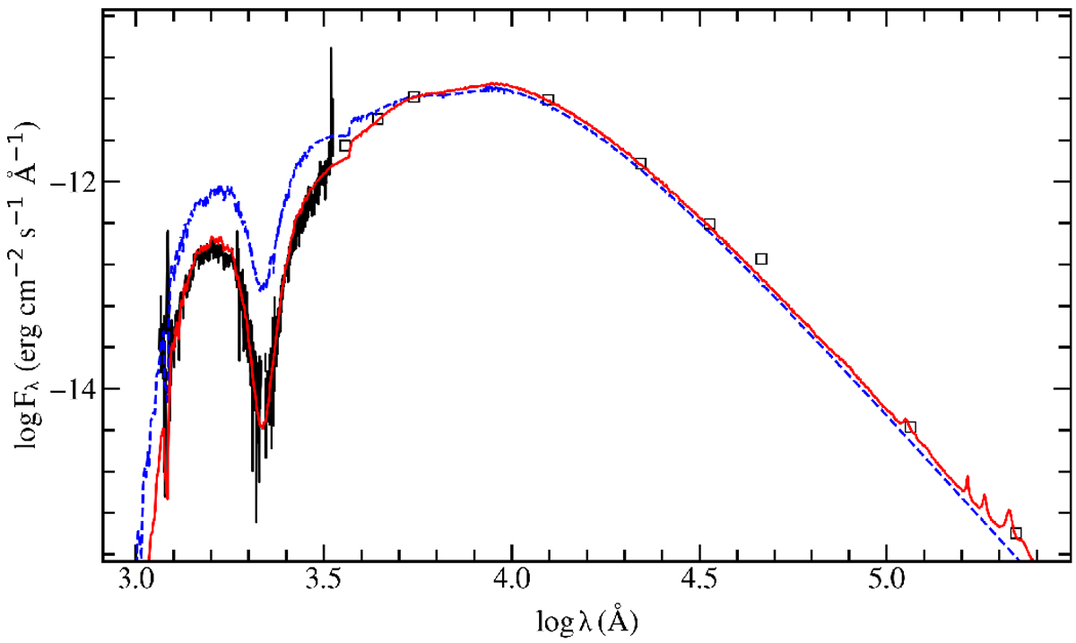
Comparison of the measured (black) and model SEDs for HD 183143. Two model solutions are shown: Application of the CCM extinction law to the ATLAS9 SED with E(BV) = 1.02 and RV = 3.8 (dashed blue line) and a modification by employing SKIRT to introduce additional extinction by a PAH component, including secondary emission (red line). With the additional PAH component extinction, values of E(BV) = 1.22 and RV = 3.3 are required to obtain a near-perfect fit to the observed SED.

Current usage metrics show cumulative count of Article Views (full-text article views including HTML views, PDF and ePub downloads, according to the available data) and Abstracts Views on Vision4Press platform.

Data correspond to usage on the plateform after 2015. The current usage metrics is available 48-96 hours after online publication and is updated daily on week days.

Initial download of the metrics may take a while.