Open Access

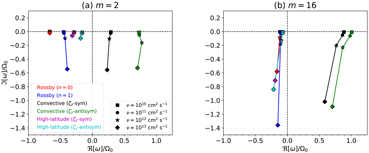
Fig. 14.

image

Download original image

Eigenfrequency spectra of the low-frequency vorticity modes in a complex plane with different values of diffusivities for (a) m = 2 and (b) m = 16. Different colors represent different classes of inertial modes. Different symbols represent different values of the viscous and thermal diffusivities. In all cases, rotation is uniform and the stratification is adiabatic.

Current usage metrics show cumulative count of Article Views (full-text article views including HTML views, PDF and ePub downloads, according to the available data) and Abstracts Views on Vision4Press platform.

Data correspond to usage on the plateform after 2015. The current usage metrics is available 48-96 hours after online publication and is updated daily on week days.

Initial download of the metrics may take a while.