Open Access

Fig. 5.

image

Download original image

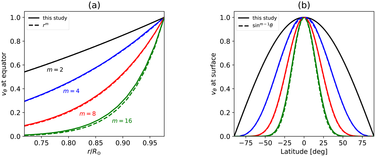
(a) Radial structure of the eigenfunction of vθ at the equator for the n = 0 equatorial Rossby modes in the inviscid, uniformly rotating, and adiabatically stratified case. Overplotted dashed lines represent theoretically predicted radial dependence vθ ∝ rm. The eigenfunctions are normalized to unity at the surface r = rmax. (b) Latitudinal structure of the eigenfunction of vθ at the surface. Dashed lines are the theoretical solution in the form of Legendre polynomials, vθ ∝ sinm − 1θ. All the eigenfunctions are normalized at the equator.

Current usage metrics show cumulative count of Article Views (full-text article views including HTML views, PDF and ePub downloads, according to the available data) and Abstracts Views on Vision4Press platform.

Data correspond to usage on the plateform after 2015. The current usage metrics is available 48-96 hours after online publication and is updated daily on week days.

Initial download of the metrics may take a while.