Highlight
Open Access

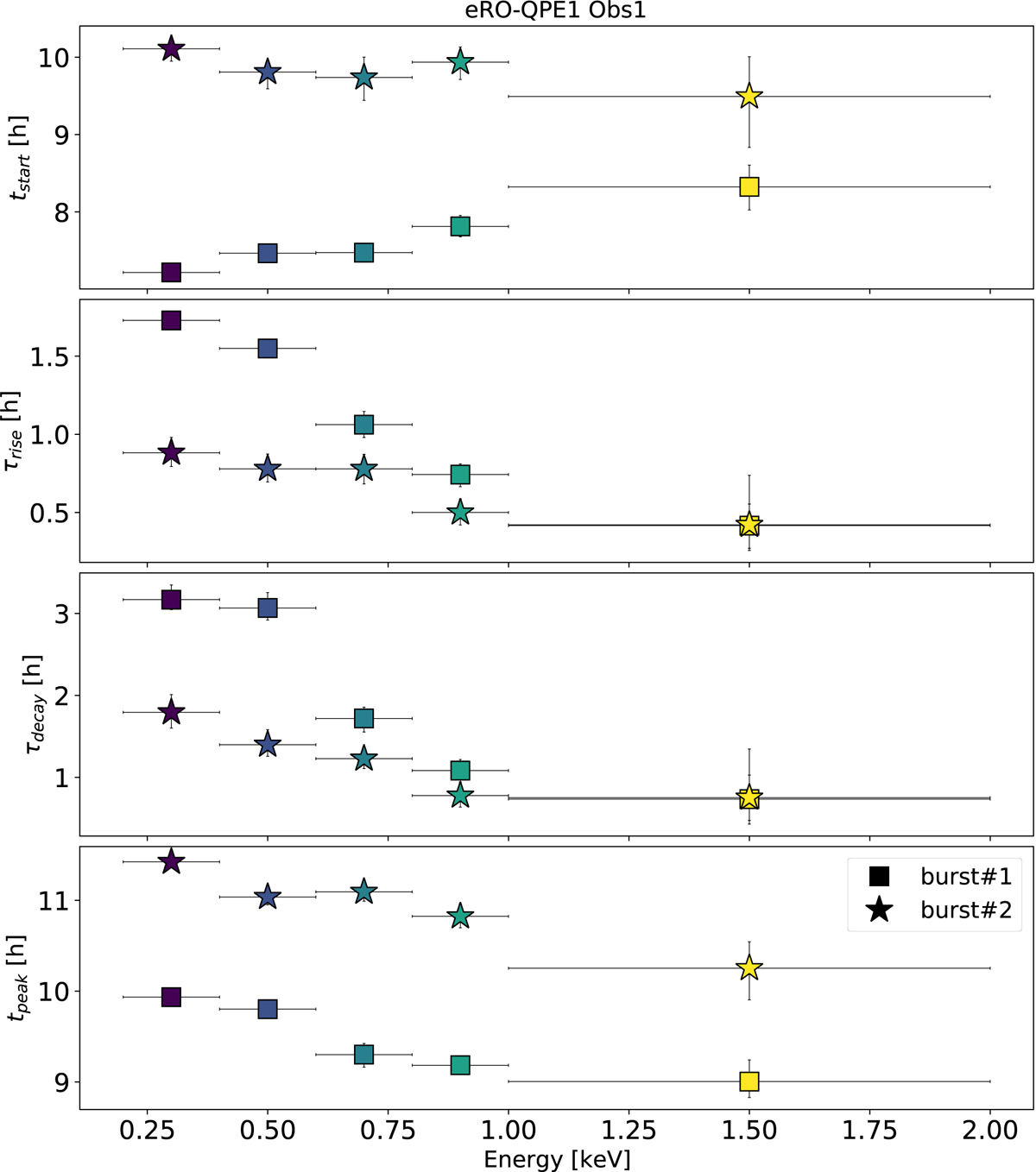
Fig. 6.

image

Download original image

Same as Fig. 4, but for the first two bursts of Obs1 (see, e.g. Fig. 5). Squares are used in all panels for the first burst, stars for the second. The energy dependence of τrise, τdecay, and tpeak (from second to bottom panel) is consistent with Obs1 and other QPEs (M19; G20; Chakraborty et al. 2021).

Current usage metrics show cumulative count of Article Views (full-text article views including HTML views, PDF and ePub downloads, according to the available data) and Abstracts Views on Vision4Press platform.

Data correspond to usage on the plateform after 2015. The current usage metrics is available 48-96 hours after online publication and is updated daily on week days.

Initial download of the metrics may take a while.