Press Release
Open Access

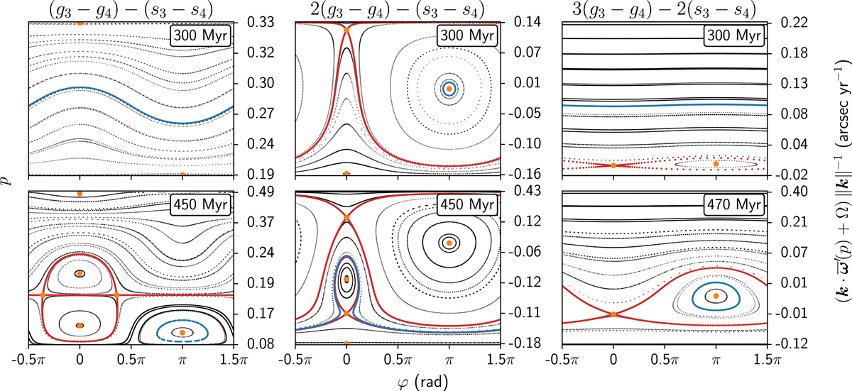
Fig. 2.

image

Download original image

Reduced phase spaces (p, φ) of the harmonics θ1 : 1, θ2 : 1, and θ3 : 2 along the Lie-transformed nominal solution as deduced from the Lie-transformed Hamiltonian . The phase spaces correspond to the t0 times indicated in the upper-right boxes. The black dots reproduce the level curves of the reduced Hamiltonian, and the orange dots represent its fixed points. The separatrices are shown by red dots, and the level curve corresponding to the resonant variables at time t0 is shown in blue. The right-hand-side axes report the projection of the mean frequencies along the normal k to the resonance plane.

Current usage metrics show cumulative count of Article Views (full-text article views including HTML views, PDF and ePub downloads, according to the available data) and Abstracts Views on Vision4Press platform.

Data correspond to usage on the plateform after 2015. The current usage metrics is available 48-96 hours after online publication and is updated daily on week days.

Initial download of the metrics may take a while.