Press Release
Open Access

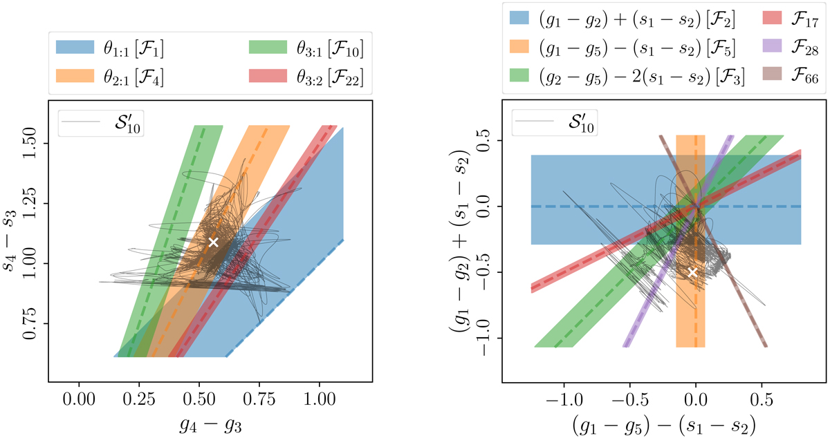
Fig. 3.

image

Download original image

Overlaps of secular resonances from Table 2. Left panel: starred resonances θm : n = m(g3  −  g4)  −  n(s3  −  s4) in the frequency subspace spanned by g4 − g3 and s4 − s3. Right panel: daggered resonances as integer combinations of (g1 − g5)−(s1 − s2) and (g1 − g2)+(s1 − s2) (the harmonic ℱ66 = 3g1 − g2 − 2g5 − (s1 − s2) is not shown in Table 2). The dashed lines represent the resonance centres, and the coloured regions correspond to the time median of the signed half-widths. The nominal solution , which spans 5 Gyr, is shown after low-pass filtering with a cutoff frequency of (5 Myr)−1, the cross indicating the current position of the ISS. Frequencies are in arcsec yr−1.

Current usage metrics show cumulative count of Article Views (full-text article views including HTML views, PDF and ePub downloads, according to the available data) and Abstracts Views on Vision4Press platform.

Data correspond to usage on the plateform after 2015. The current usage metrics is available 48-96 hours after online publication and is updated daily on week days.

Initial download of the metrics may take a while.