Press Release
Open Access

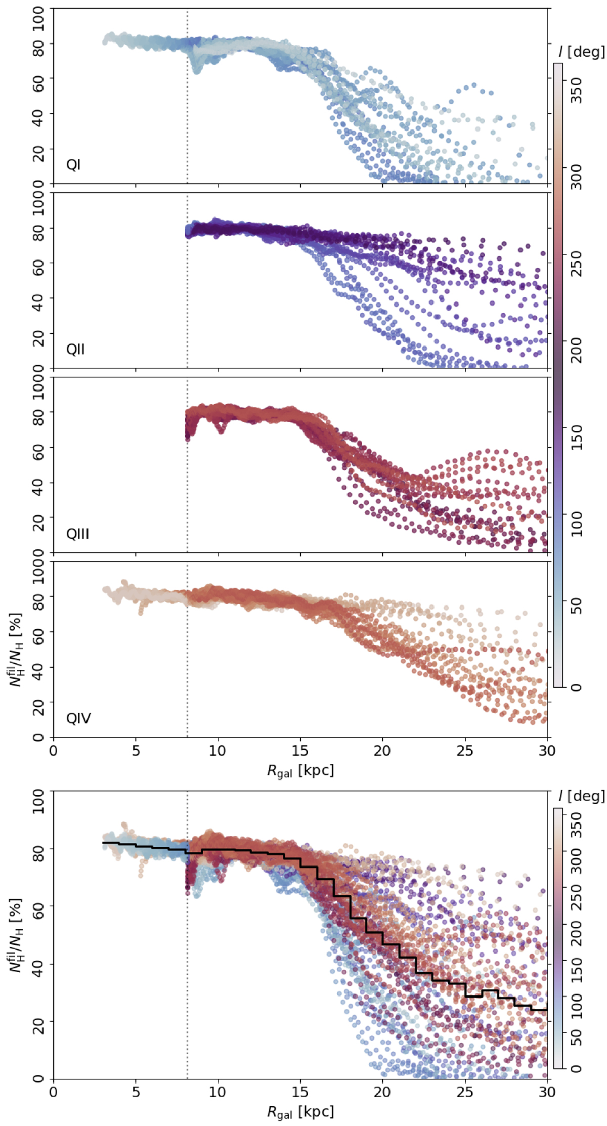
Fig. 12

image

Download original image

Radial profiles of the ratio between the column density in the filamentary structures and the total column density (NH). From top to bottom, the panels correspond to each Galactic quadrant and to the whole Galactic longitude range. The colors indicate the Galactic longitude of the tiles. The vertical dotted line indicates the radius of the solar orbit. The solid line in the bottom panel indicates the mean values of in 1-kpc Rgal bins.

Current usage metrics show cumulative count of Article Views (full-text article views including HTML views, PDF and ePub downloads, according to the available data) and Abstracts Views on Vision4Press platform.

Data correspond to usage on the plateform after 2015. The current usage metrics is available 48-96 hours after online publication and is updated daily on week days.

Initial download of the metrics may take a while.