Open Access

Fig. 4.

image

Download original image

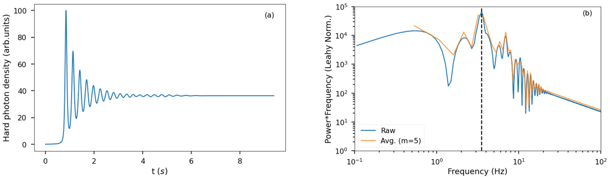
Evolution of the hard photon density in time and frequency domains. Panel a: light curve of hard (Comptonized) photons (rescaled to a maximum value of 100) for the same parameters used in panel (a) of Fig. 1. Panel b: power spectrum of the light curve multiplied by frequency using the Leahy normalization. Overplotted in orange is the averaged power spectrum computed using five segments of the light curve.

Current usage metrics show cumulative count of Article Views (full-text article views including HTML views, PDF and ePub downloads, according to the available data) and Abstracts Views on Vision4Press platform.

Data correspond to usage on the plateform after 2015. The current usage metrics is available 48-96 hours after online publication and is updated daily on week days.

Initial download of the metrics may take a while.