Open Access

Fig. 5.

image

Download original image

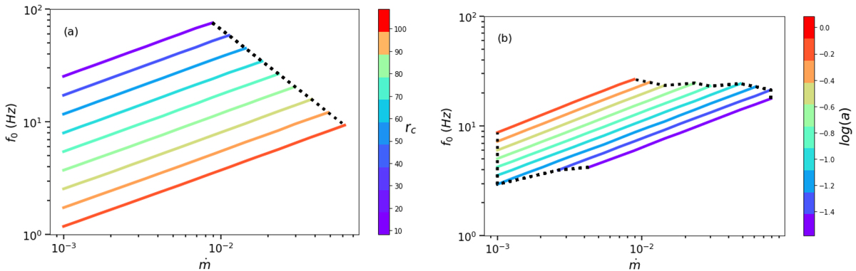
Natural frequency of the dynamic corona-disk system for a nonrotating black hole with mass M* = 10 M as a function of the mass accretion rate (in units of the Eddington rate) for different values of rc (panel a) and a (panel b), as indicated in the color bar. Beyond (or below) a certain mass accretion rate, the system reaches a steady state without exhibiting oscillations (dotted black lines). Other parameters used are: a = 0.2 (panel a) and rc = 30 (panel b), with f = 0.999 in both panels.

Current usage metrics show cumulative count of Article Views (full-text article views including HTML views, PDF and ePub downloads, according to the available data) and Abstracts Views on Vision4Press platform.

Data correspond to usage on the plateform after 2015. The current usage metrics is available 48-96 hours after online publication and is updated daily on week days.

Initial download of the metrics may take a while.