Open Access

Fig. 3

image

Download original image

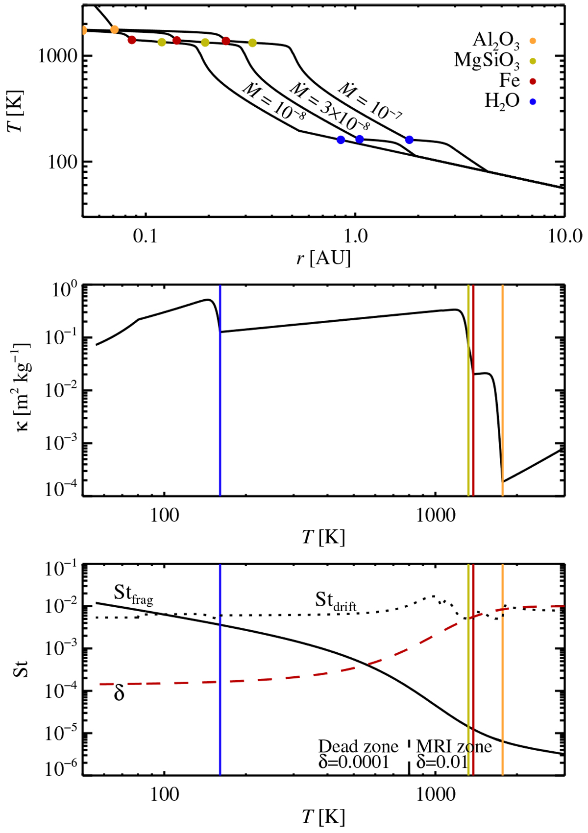
Thermal structure of the inner regions of a protoplanetary disc at three different stellar mass accretion rates (top panel), total gas and dust opacity as a function of temperature (middle panel), and particle Stokes number and diffusion coefficient as a function of temperature at (bottom panel). The sublimation fronts of corundum (Al2O3), enstatite (MgSiO3), iron (Fe), and water (H2O) are indicated. The fragmentation-limited Stokes number is much lower than the drifting Stokes number interior to the water ice line and hence the radial motion of solids is dominated by the gas accretion speed in the inner regions of the protoplanetary disc.

Current usage metrics show cumulative count of Article Views (full-text article views including HTML views, PDF and ePub downloads, according to the available data) and Abstracts Views on Vision4Press platform.

Data correspond to usage on the plateform after 2015. The current usage metrics is available 48-96 hours after online publication and is updated daily on week days.

Initial download of the metrics may take a while.