Open Access

Fig. 4

image

Download original image

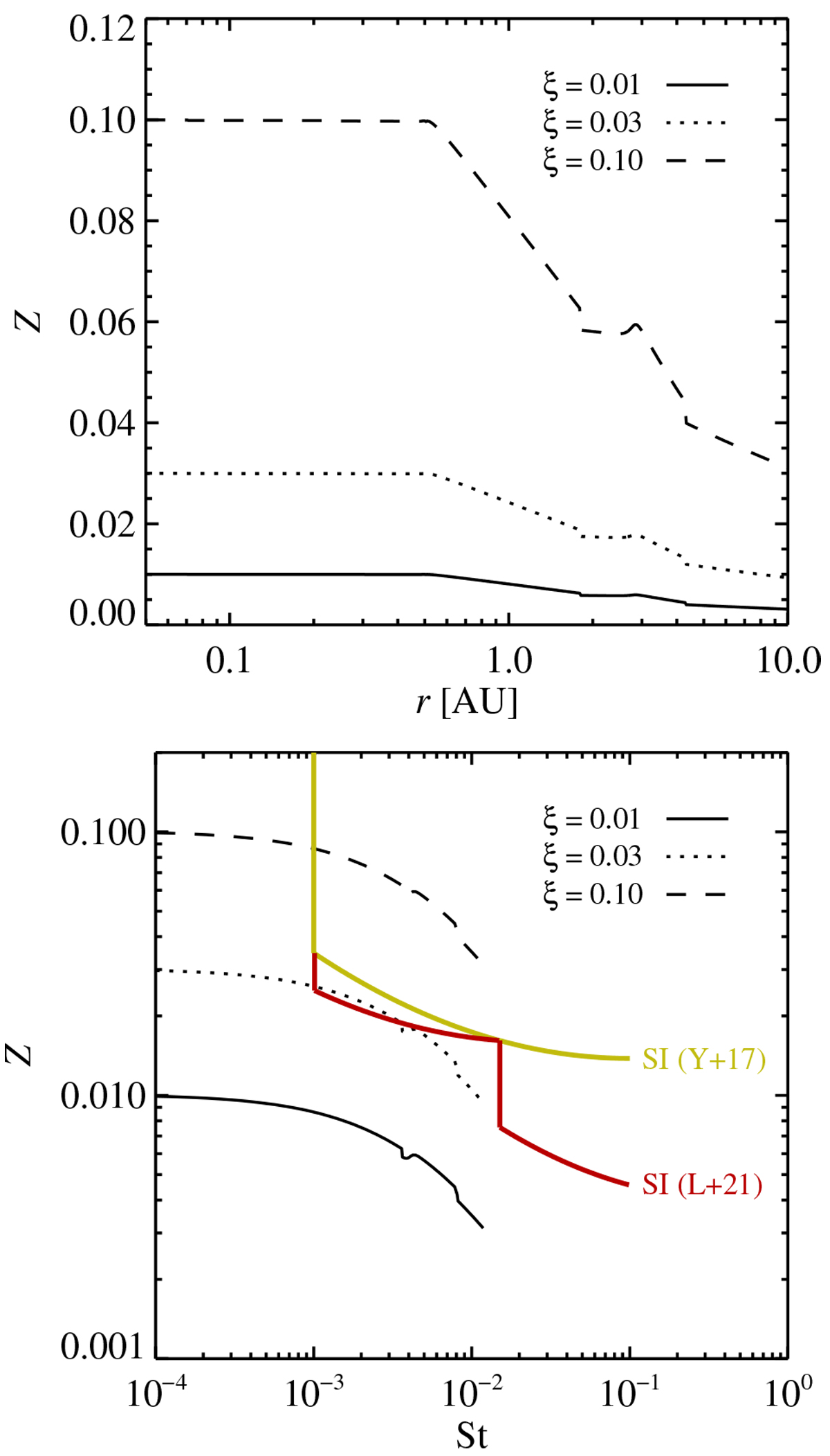
Mass loading of solid particles in the gas as a function of distance from the star (top plot) and the mass loading as a function of the Stokes number (bottom plot). Results are shown for and three different values of the pebble-to-gas flux ratio . We overplot the threshold metallicity for planetesimal formation by the streaming instability in the bottom plot, from two different sources (Yang et al. 2017; Li & Youdin 2021). An unrealistically large pebble flux of ? > 0.03 is needed to trigger the streaming instability directly for the considered values of St.

Current usage metrics show cumulative count of Article Views (full-text article views including HTML views, PDF and ePub downloads, according to the available data) and Abstracts Views on Vision4Press platform.

Data correspond to usage on the plateform after 2015. The current usage metrics is available 48-96 hours after online publication and is updated daily on week days.

Initial download of the metrics may take a while.