Open Access

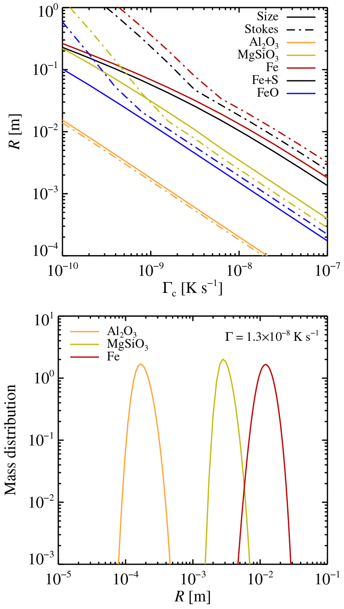
Fig. 5

image

Download original image

Particle sizes and Stokes numbers as a function of the cooling rate of our protoplanetary disc model at at r = 0.4 AU (top panel) and size distribution of corundum, enstatite, and iron at a specific cooling rate (bottom panel). All the species increase in size for decreasing cooling rates. The Stokes number increases quadrat-ically with the particle size above the size transition from Epstein to Stokes regime. Pure iron (Fe) and iron with sulfur (Fe+S) obtain the largest sizes and by far the highest Stokes numbers.

Current usage metrics show cumulative count of Article Views (full-text article views including HTML views, PDF and ePub downloads, according to the available data) and Abstracts Views on Vision4Press platform.

Data correspond to usage on the plateform after 2015. The current usage metrics is available 48-96 hours after online publication and is updated daily on week days.

Initial download of the metrics may take a while.