Open Access

Fig. 9

image

Download original image

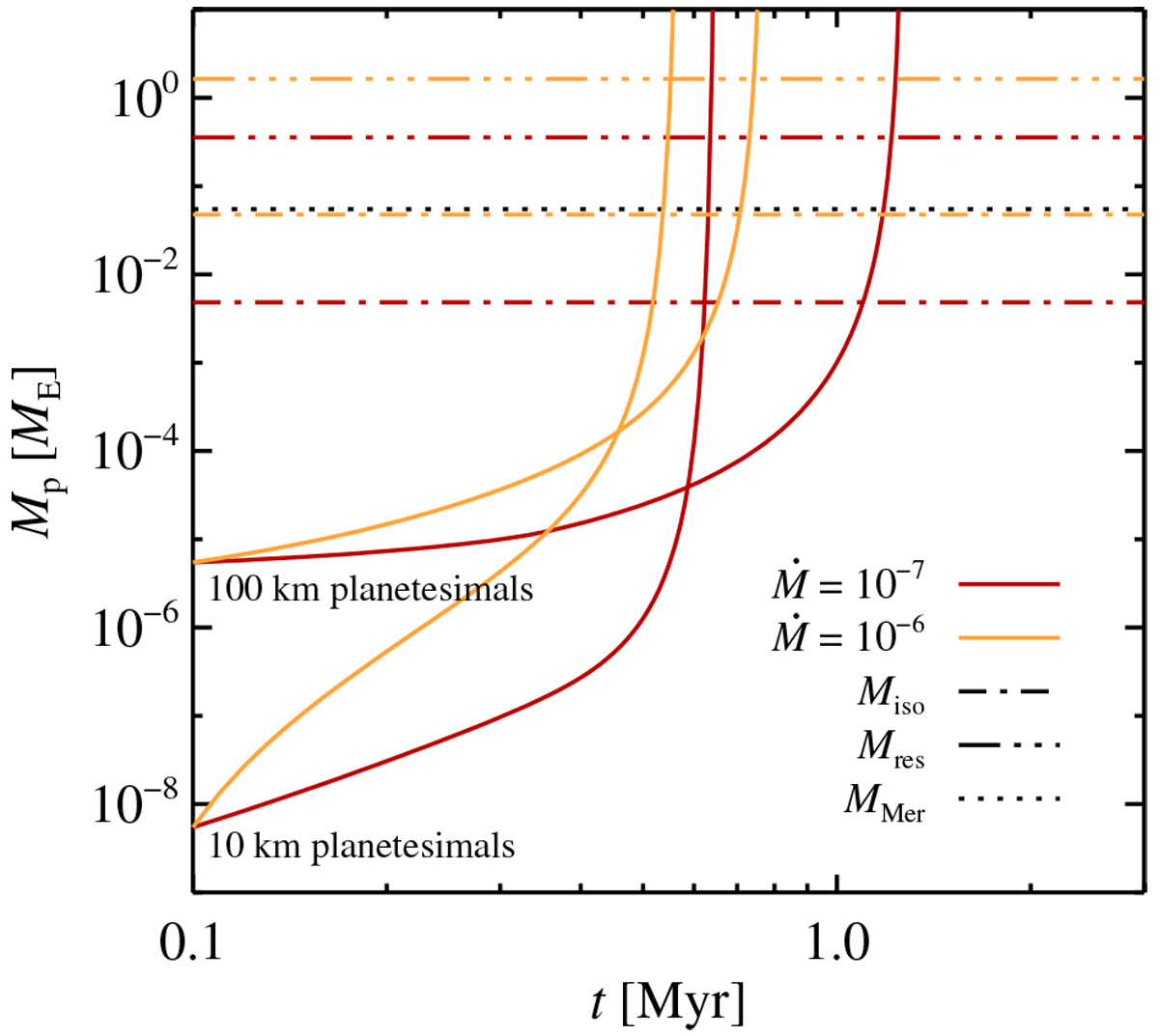
Growth of a Mercury analogue at r = 0.4 AU by accretion of iron-rich planetesimals. We consider planetesimal sizes of either 100 km (nominal) or 10 km (small planetesimals) and two values for the accretion rate of the protoplanetary disc when the planetesimals form ( and ). The isolation mass by planetesimal accretion, with a feeding zone here assumed to be four Hill radii, is indicated by the dot-dashed lines. The protoplanets will grow to their isolation mass within approximately 1 Myr in all cases. For planetesimal formation in a dense protoplanetary disc, with , the isolation mass is similar to the mass of Mercury and no giant impacts are needed to explain its characteristic mass. The expected mass of planetesimals formed for each heating event of the protoplanetary disc is indicated by dash-triple-dotted lines.

Current usage metrics show cumulative count of Article Views (full-text article views including HTML views, PDF and ePub downloads, according to the available data) and Abstracts Views on Vision4Press platform.

Data correspond to usage on the plateform after 2015. The current usage metrics is available 48-96 hours after online publication and is updated daily on week days.

Initial download of the metrics may take a while.