Free Access

Fig. 5

image

Download original image

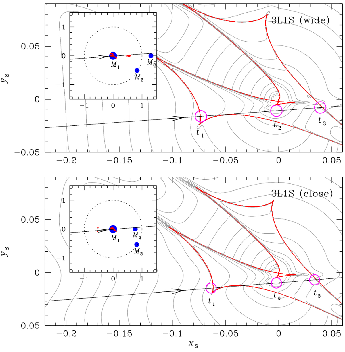
Configuration of the lens system according to the wide (upper panel) and close (lower panel) 3L1S models. In each panel, the cuspy figure is the caustic and the line with an arrow indicates the source trajectory. The three empty magenta circles on the source trajectory represent the source positions corresponding to the three epochs of t1, t2, and t3 marked in Fig. 1. The size of the circle is proportionate to the source size. Lengths are normalized to the Einstein radius corresponding to the total lens mass. The inset in each panel shows a zoomed-out view, in which the locations of the individual lens components (M1, M2, and M3) and the Einstein ring (dotted circle) are marked. The curves encompassing the caustic represent the equi-magnification contours.

Current usage metrics show cumulative count of Article Views (full-text article views including HTML views, PDF and ePub downloads, according to the available data) and Abstracts Views on Vision4Press platform.

Data correspond to usage on the plateform after 2015. The current usage metrics is available 48-96 hours after online publication and is updated daily on week days.

Initial download of the metrics may take a while.