Press Release
Open Access

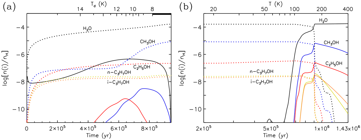
Fig. 6

image

Download original image

Abundances with respect to total H for selected OH-group bearing molecules during the collapse stage and subsequent warm-up using the slow warm-up model. Solid lines indicate gas-phase species; dotted lines of the same colors indicate the same species on the dust grains. Panel a: stage 1 (collapse) model results, plotted linearly against time. The dust temperature is shown on the top axis, with an initial value of ~14.7 K, which falls to a minimum of 8 K, while the gas temperature is held at 10 K throughout the collapse model. Panel b: stage 2 (warm up) model results, plotted logarithmically against time. Time values correspond to the time during the warm-up stage, which are plotted beginning 2 × 105 yr into the warm up. The top axis shows the gas and dust temperatures, which are identical at this point in the model.

Current usage metrics show cumulative count of Article Views (full-text article views including HTML views, PDF and ePub downloads, according to the available data) and Abstracts Views on Vision4Press platform.

Data correspond to usage on the plateform after 2015. The current usage metrics is available 48-96 hours after online publication and is updated daily on week days.

Initial download of the metrics may take a while.