Open Access

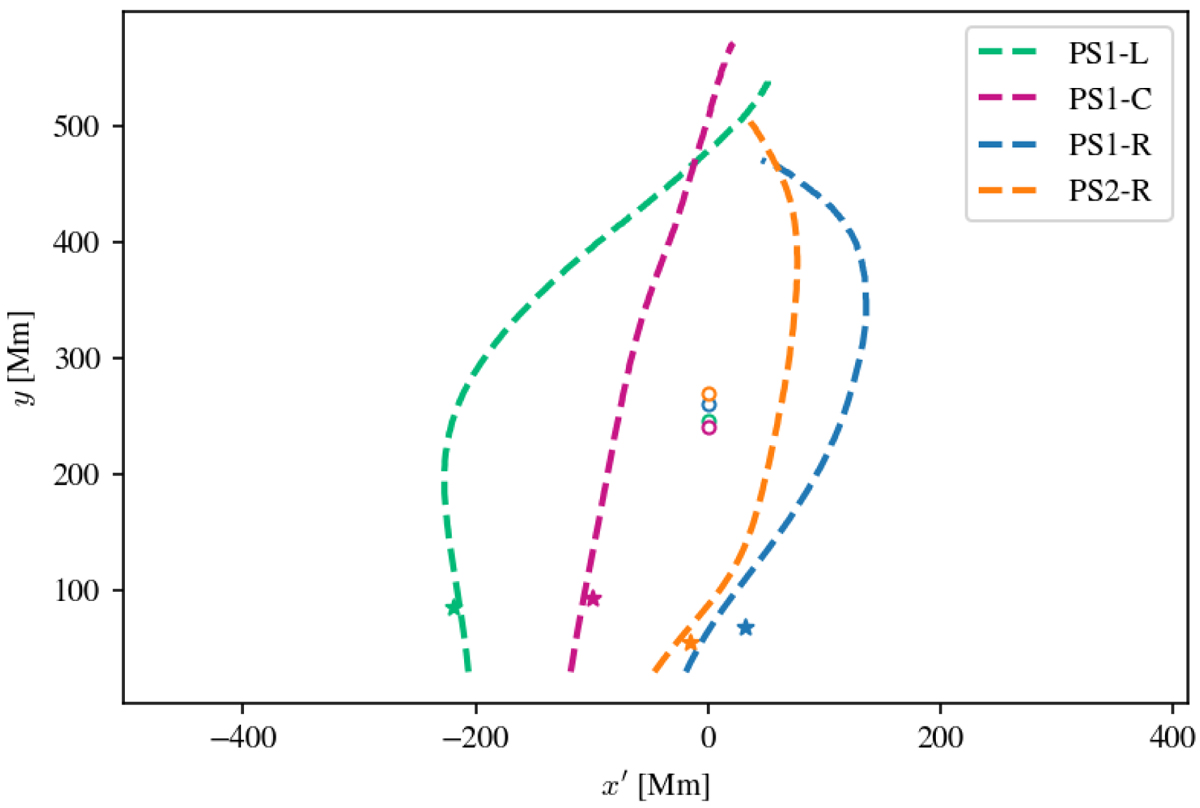
Fig. 3.

image

Download original image

FR trajectories for the class Ie cases. Dashed lines represent the path followed by the FR, stars the LNP location, and circles the GNP position for each case.

Current usage metrics show cumulative count of Article Views (full-text article views including HTML views, PDF and ePub downloads, according to the available data) and Abstracts Views on Vision4Press platform.

Data correspond to usage on the plateform after 2015. The current usage metrics is available 48-96 hours after online publication and is updated daily on week days.

Initial download of the metrics may take a while.