Open Access
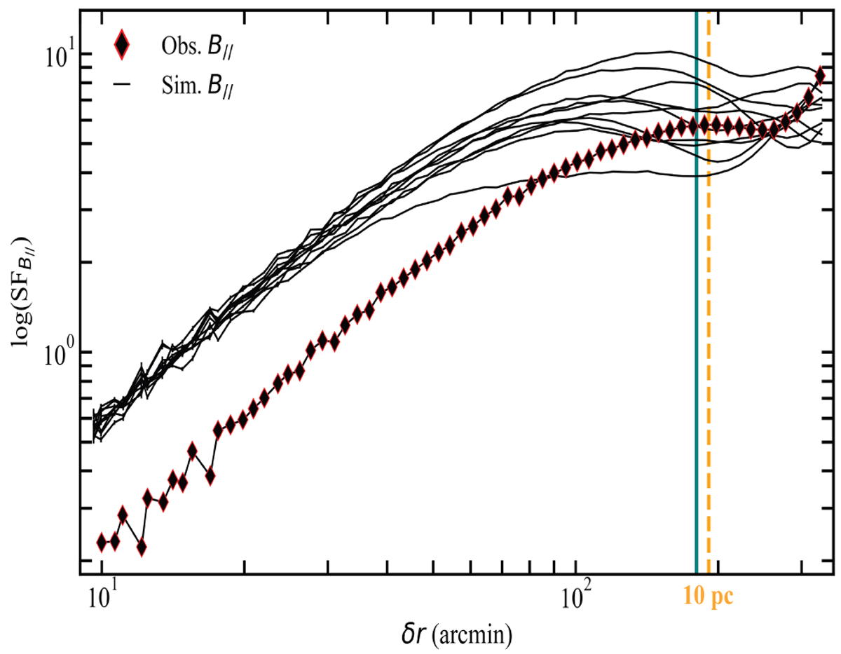
Fig. 10

Download original image
Structure functions of the observed and simulated B‖. Each simulated is calculated from the different realizations of the turbulence with an outer scale of 10 pc with β = −5/3 and α = 2. The teal line represents half of the box size.
Current usage metrics show cumulative count of Article Views (full-text article views including HTML views, PDF and ePub downloads, according to the available data) and Abstracts Views on Vision4Press platform.
Data correspond to usage on the plateform after 2015. The current usage metrics is available 48-96 hours after online publication and is updated daily on week days.
Initial download of the metrics may take a while.