Open Access
Fig. A.2

Download original image
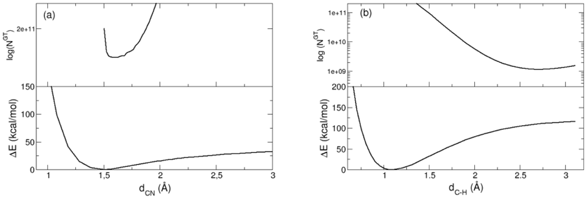
Internal energy and sum of rovibrational states as a function of the reaction coordinate for the two reactions studied as obtained from CCSD/cc-pVDZ energies and projected frequencies. NGT values are reported for an internal energy of 174 kcal/mol.
Current usage metrics show cumulative count of Article Views (full-text article views including HTML views, PDF and ePub downloads, according to the available data) and Abstracts Views on Vision4Press platform.
Data correspond to usage on the plateform after 2015. The current usage metrics is available 48-96 hours after online publication and is updated daily on week days.
Initial download of the metrics may take a while.