Open Access
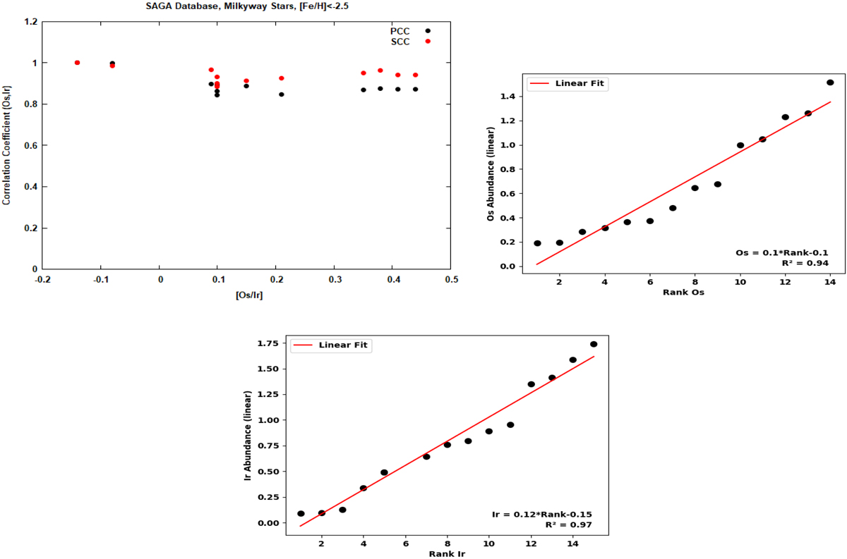
Fig. 18.

Download original image
Correlations of Os and Ir and their trends with rank. Panel a: Os versus Ir correlation and panels b and c: Os and Ir versus their ranks. The data set includes stars with [Fe/H] < −2.5 and the corresponding linear fits.
Current usage metrics show cumulative count of Article Views (full-text article views including HTML views, PDF and ePub downloads, according to the available data) and Abstracts Views on Vision4Press platform.
Data correspond to usage on the plateform after 2015. The current usage metrics is available 48-96 hours after online publication and is updated daily on week days.
Initial download of the metrics may take a while.