Fig. 21.

Download original image
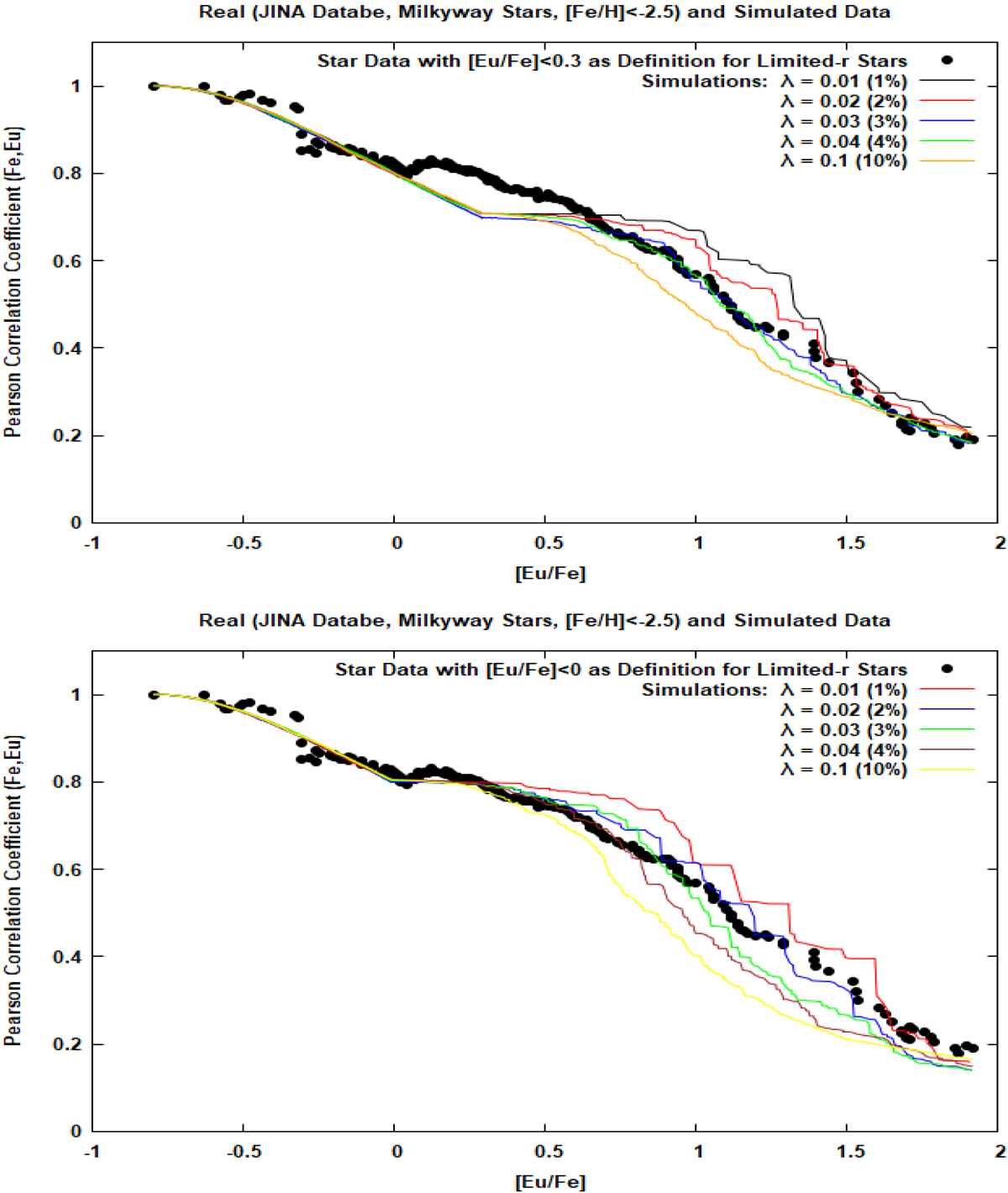
Simulation of the PCCs and SCCs of Fe and Eu. PCC values of real and randomly generated Eu and Fe in stars with [Fe/H] < −2.5. See the text for this approach where λ relates to the fraction of category III events (where Eu is added independently without adding any Fe) versus the sum of category I+II+III events. Top panel: [Eu/Fe] < 0.3 is utilized for the upper limit of limited-r stars. Bottom panel: [Eu/Fe] < 0 is utilized as an upper limit for the same star type. In both cases a λ of about 2% seems to provide the best fit to the data.
Current usage metrics show cumulative count of Article Views (full-text article views including HTML views, PDF and ePub downloads, according to the available data) and Abstracts Views on Vision4Press platform.
Data correspond to usage on the plateform after 2015. The current usage metrics is available 48-96 hours after online publication and is updated daily on week days.
Initial download of the metrics may take a while.