Open Access
Fig. 23.

Download original image
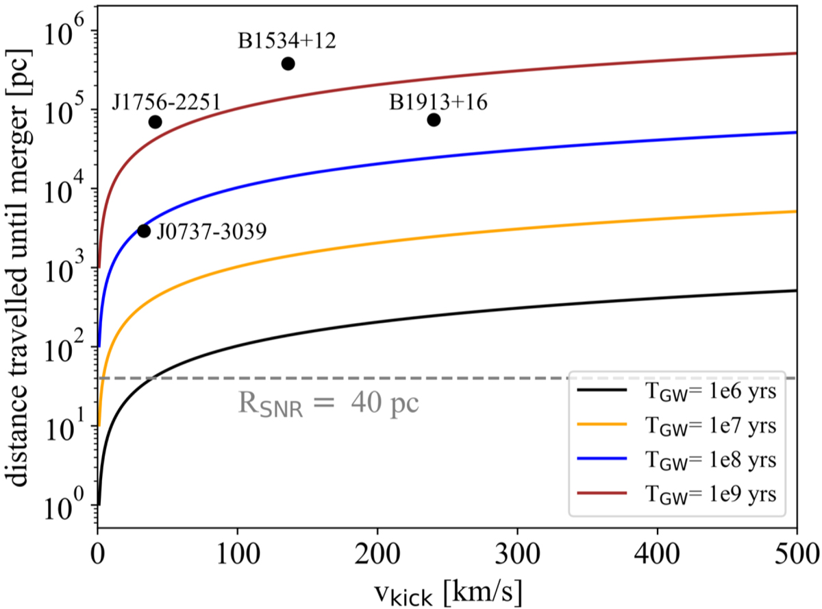
Distance travelled by neutron star binaries until the merger. A few neutron star binaries with sufficiently known details to determine the gravitational wave inspiral time TGW and the distance travelled until the merger, based on their kick velocities. The observational data are taken from Table 3 in Tauris et al. (2017).
Current usage metrics show cumulative count of Article Views (full-text article views including HTML views, PDF and ePub downloads, according to the available data) and Abstracts Views on Vision4Press platform.
Data correspond to usage on the plateform after 2015. The current usage metrics is available 48-96 hours after online publication and is updated daily on week days.
Initial download of the metrics may take a while.