Fig. 24.

Download original image
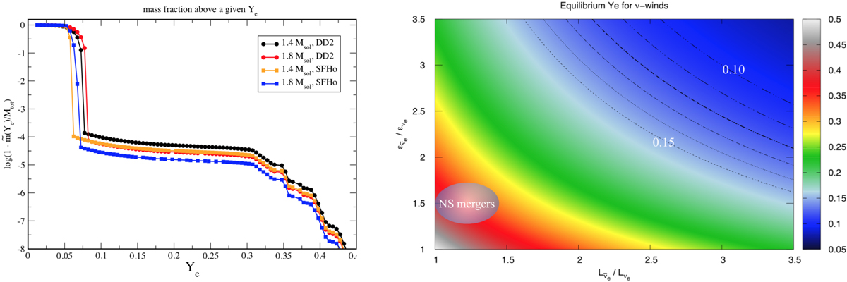
Mass fraction in neutron stars above a given electron fraction and conditions for an actinde boost. Left panel: mass fractions in neutron stars above the given electron fraction Ye of the x-axis. Rather insensitive to mass and equation of state, the bulk of a neutron star has an electron fraction below ≈0.08, only a tiny mass fraction of ≈10−4 is above this value. Right panel: equilibrium Ye in a neutrino-driven wind as a function of the ratio of (anti)neutrino energies and luminosities (see text for details). Marked is the Ye-range favorable for an actinide boost (0.1−0.15) and the regions expected for neutron star mergers.
Current usage metrics show cumulative count of Article Views (full-text article views including HTML views, PDF and ePub downloads, according to the available data) and Abstracts Views on Vision4Press platform.
Data correspond to usage on the plateform after 2015. The current usage metrics is available 48-96 hours after online publication and is updated daily on week days.
Initial download of the metrics may take a while.