Fig. 5

image

Download original image

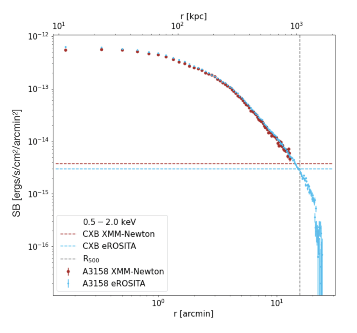
Comparison of the surface brightness profile from XMM-Newton out to r500 and from eROSITA out to r200. The data points are PIB subtracted and sky-background subtracted.

Current usage metrics show cumulative count of Article Views (full-text article views including HTML views, PDF and ePub downloads, according to the available data) and Abstracts Views on Vision4Press platform.

Data correspond to usage on the plateform after 2015. The current usage metrics is available 48-96 hours after online publication and is updated daily on week days.

Initial download of the metrics may take a while.