Fig. 6

image

Download original image

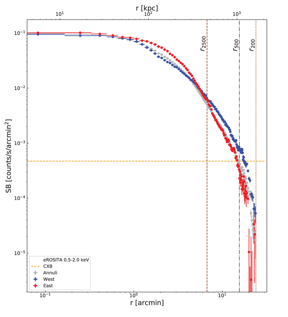
eROSITA clean SB proflies of the full azimuthal (grey), western (blue), and eastern (red) directions out to the R200 of the cluster. The CXB level is plotted as the dashed orange line. The characteristic radii are indicated by vertical brown lines.

Current usage metrics show cumulative count of Article Views (full-text article views including HTML views, PDF and ePub downloads, according to the available data) and Abstracts Views on Vision4Press platform.

Data correspond to usage on the plateform after 2015. The current usage metrics is available 48-96 hours after online publication and is updated daily on week days.

Initial download of the metrics may take a while.