Open Access
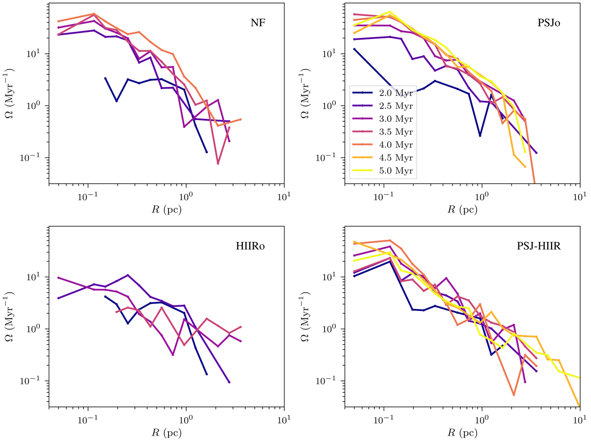
Fig. 12.

Download original image
Angular velocity profiles of the bound part of the cluster in the four simulations, at several times. The legend is shared by the four panels. Some of the profiles are missing in the two left panels, since the corresponding simulations are not advanced enough.
Current usage metrics show cumulative count of Article Views (full-text article views including HTML views, PDF and ePub downloads, according to the available data) and Abstracts Views on Vision4Press platform.
Data correspond to usage on the plateform after 2015. The current usage metrics is available 48-96 hours after online publication and is updated daily on week days.
Initial download of the metrics may take a while.