Open Access
Fig. 5.

Download original image
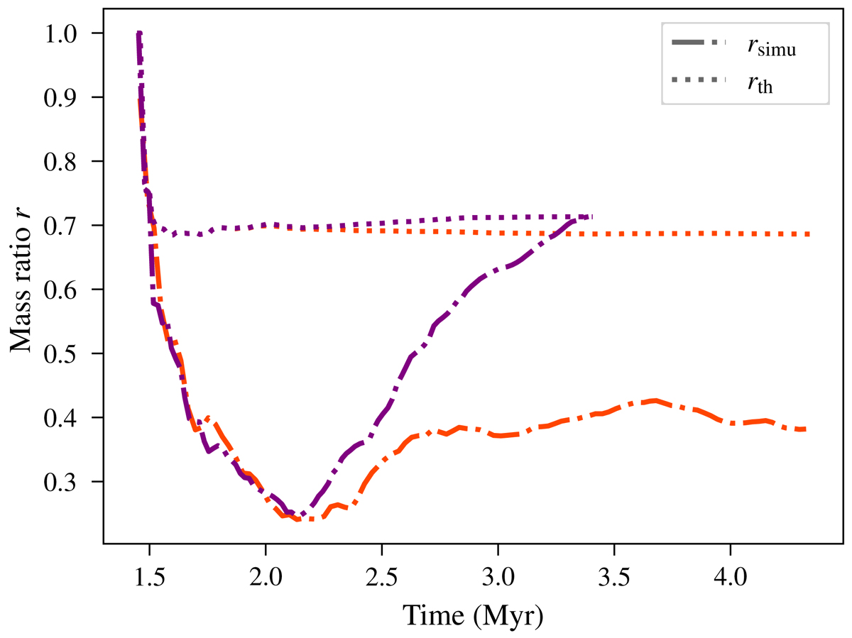
In dash-dotted lines, Msink, PSJo/Msink, NF in orange, and Msink, PSJ − HIIR/Msink, HIIRo in purple. Dotted lines represent the same ratios that would be obtained if the difference of total sink mass in those simulations were only due to the fraction of mass ejected by protostellar jets.
Current usage metrics show cumulative count of Article Views (full-text article views including HTML views, PDF and ePub downloads, according to the available data) and Abstracts Views on Vision4Press platform.
Data correspond to usage on the plateform after 2015. The current usage metrics is available 48-96 hours after online publication and is updated daily on week days.
Initial download of the metrics may take a while.