Fig. 7

Download original image
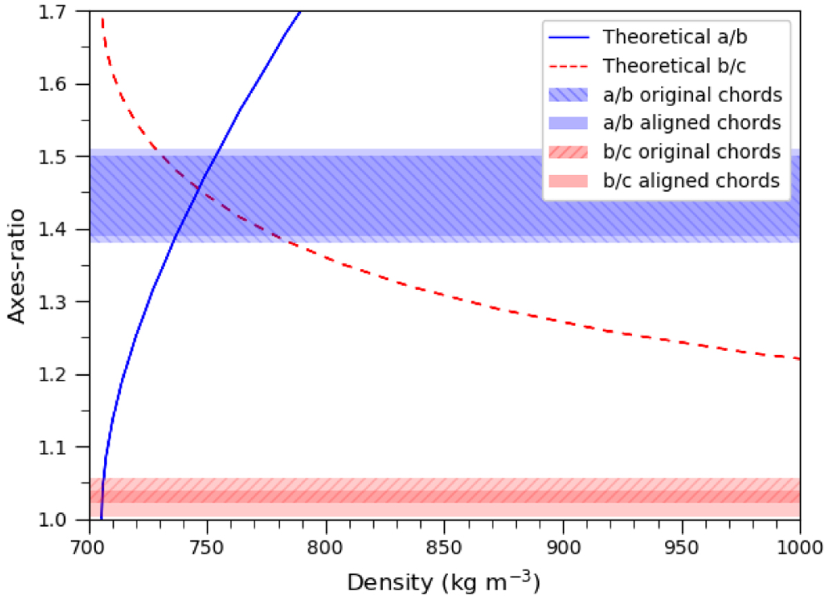
Theoretical axes ratios a/b (solid blue line) and b/c (dashed red line) of a 3D body in hydrostatic equilibrium, rotating with a period of 7.41753 ± 0.00001 h, for different densities (Chandrasekhar 1987). The axes ratios from the observed data are plotted as colored bands for both of the considered cases. The theoretical b/c ratios from hydrostatic equilibrium do not agree with the observations for any possible density of a homogeneous body because there is no intersection of the dashed red line with the pink band.
Current usage metrics show cumulative count of Article Views (full-text article views including HTML views, PDF and ePub downloads, according to the available data) and Abstracts Views on Vision4Press platform.
Data correspond to usage on the plateform after 2015. The current usage metrics is available 48-96 hours after online publication and is updated daily on week days.
Initial download of the metrics may take a while.