Open Access

Fig. 13.

image

Download original image

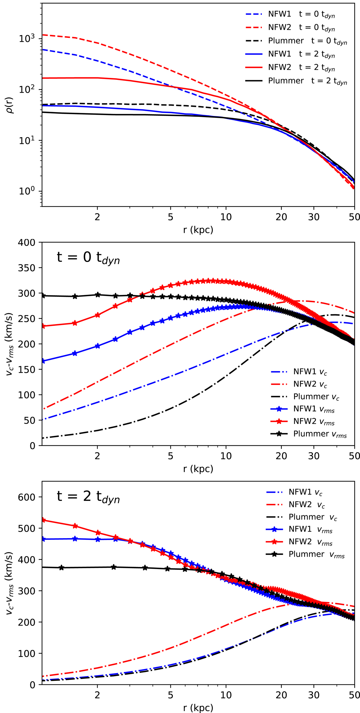
Core formation. Upper panel: initial (dashed) and the final (solid) density profiles for the three halo models. Both NFW models clearly show that a core was developed at 20 (NFW1) and 10 (NFW2) kpc, respectively. Middle panel: initial circular velocity (dash-dotted line) and the initial 3D velocity dispersion (solid line with stars). Lowest panel: same kinematic profiles at the end of the simulation.

Current usage metrics show cumulative count of Article Views (full-text article views including HTML views, PDF and ePub downloads, according to the available data) and Abstracts Views on Vision4Press platform.

Data correspond to usage on the plateform after 2015. The current usage metrics is available 48-96 hours after online publication and is updated daily on week days.

Initial download of the metrics may take a while.