Open Access

Fig. 7.

image

Download original image

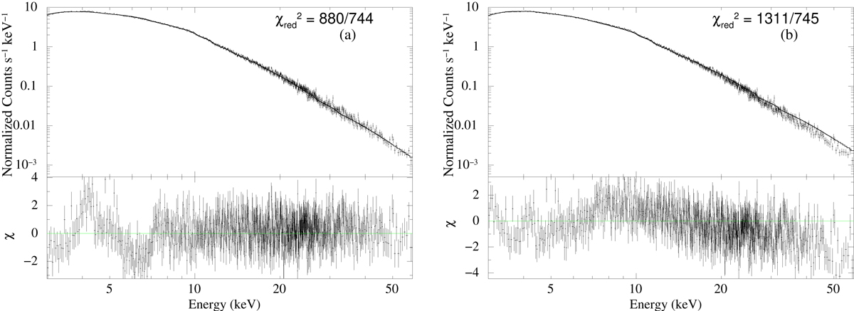
The 3–60 keV spectra fitted with TBABS*ZXIPCF*TCAF model along with the residuals for epoch E. Panel a shows the fit when TCAF model norm is free and panel b corresponds to data fitted when norm is frozen to an average low flux state norm around 1.3e4.

Current usage metrics show cumulative count of Article Views (full-text article views including HTML views, PDF and ePub downloads, according to the available data) and Abstracts Views on Vision4Press platform.

Data correspond to usage on the plateform after 2015. The current usage metrics is available 48-96 hours after online publication and is updated daily on week days.

Initial download of the metrics may take a while.