Fig. 9.

Download original image
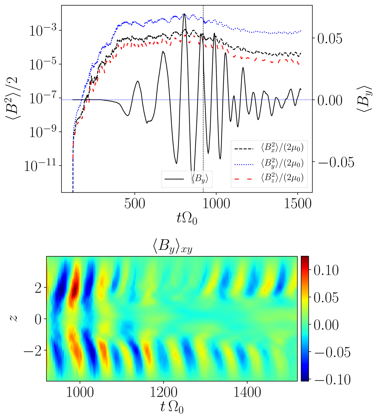
Time evolution for a selection of volume-averaged quantities, related to the magnetic field, and the evolution of the vertical magnetic field structure, for simulation sg-mhd-G001. First image: volume-averaged magnetic energy densities separated into components (left abscissa) and volume-averaged toroidal field ⟨By⟩ (right abscissa). Second image: horizontally averaged toroidal field component ⟨By⟩xy as a function of (z, t).
Current usage metrics show cumulative count of Article Views (full-text article views including HTML views, PDF and ePub downloads, according to the available data) and Abstracts Views on Vision4Press platform.
Data correspond to usage on the plateform after 2015. The current usage metrics is available 48-96 hours after online publication and is updated daily on week days.
Initial download of the metrics may take a while.