Free Access

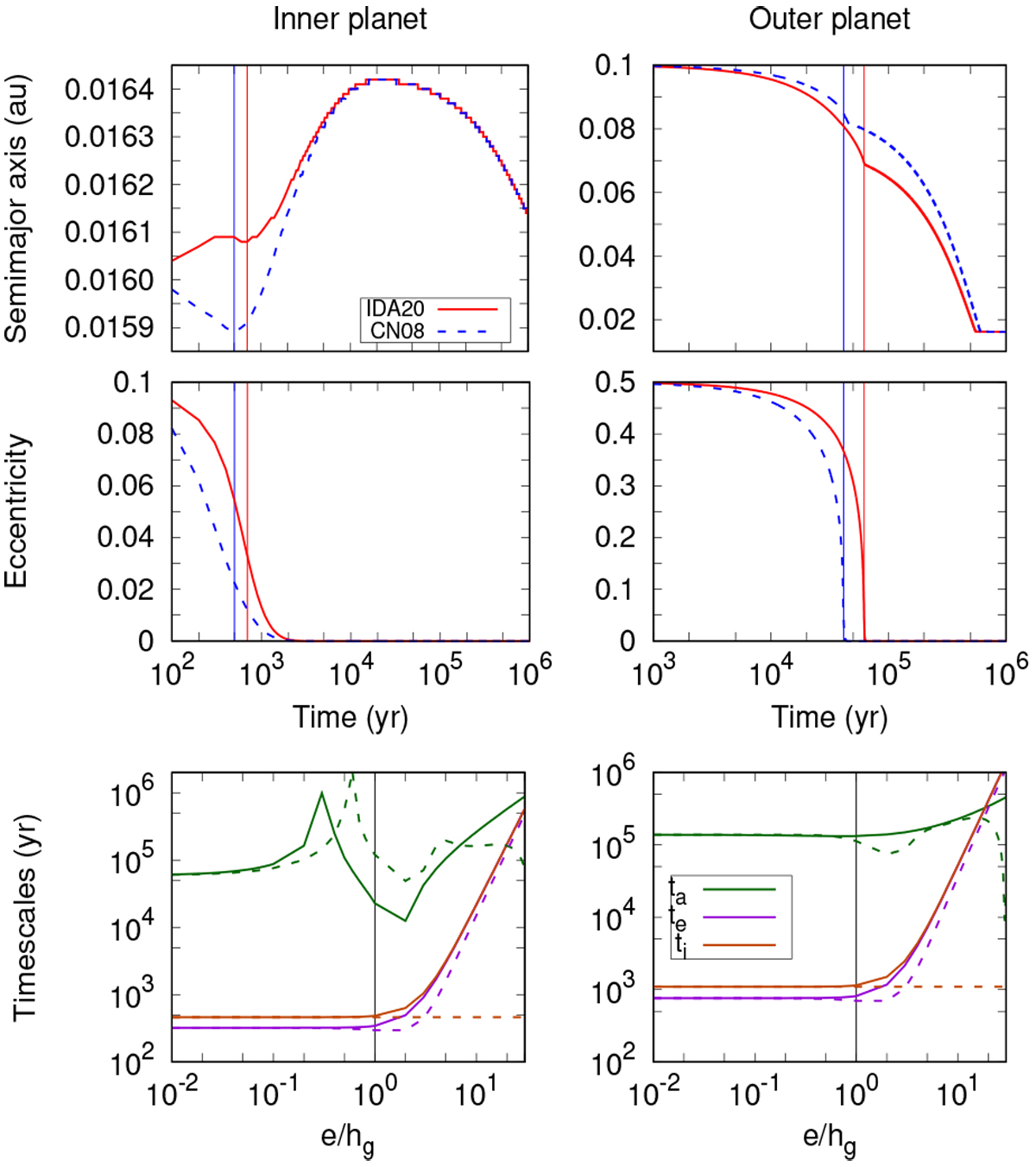
Fig. 2

image

Download original image

First 1 Myr evolution of a and e, and the absolute values of ta, te and ti for an inner planet (left panels) initially located at a = 0.016 au with e = 0.1 and an outer planet (right panels) initially located at a = 0.1 au and e = 0.5. The planet masses are MP = MMars. Solid lines indicate the results following the prescriptions from IDA20, and dotted lines show the corresponding results from CN08. The vertical lines indicate the moment at which e = hg, which separates the subsonic (e < hg) and the supersonic (e > hg) regimes.

Current usage metrics show cumulative count of Article Views (full-text article views including HTML views, PDF and ePub downloads, according to the available data) and Abstracts Views on Vision4Press platform.

Data correspond to usage on the plateform after 2015. The current usage metrics is available 48-96 hours after online publication and is updated daily on week days.

Initial download of the metrics may take a while.