Free Access

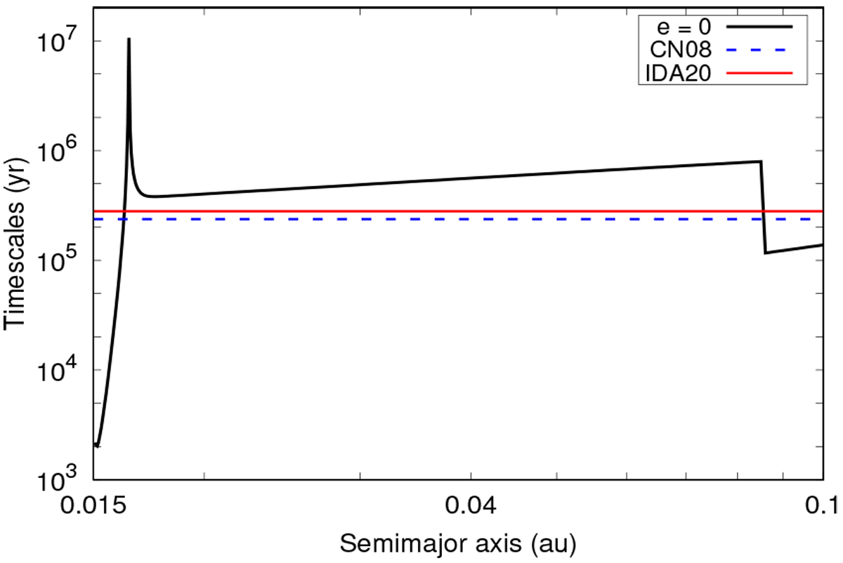
Fig. 3

image

Download original image

Timescale ta as a function of a for a planet with a mass MP = Mars. The black line indicates the case of a circular and copla-nar orbit. The red and blue lines indicate a planet initially located at a = 0.1 au with e = 0.5 following the IDA20 and CN08 prescriptions, respectively. All cases consider disk parameters set to 1 Myr.

Current usage metrics show cumulative count of Article Views (full-text article views including HTML views, PDF and ePub downloads, according to the available data) and Abstracts Views on Vision4Press platform.

Data correspond to usage on the plateform after 2015. The current usage metrics is available 48-96 hours after online publication and is updated daily on week days.

Initial download of the metrics may take a while.