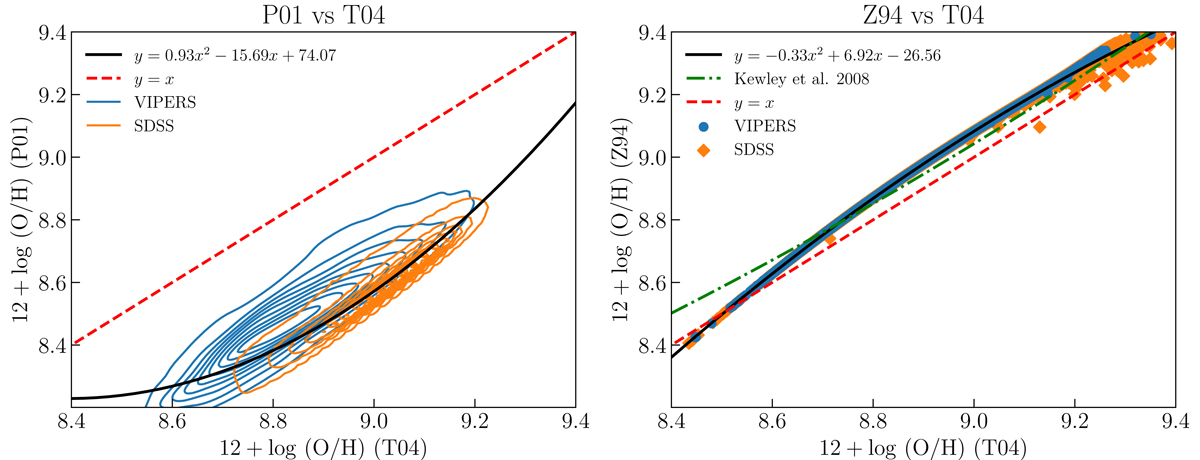
Fig. 2.

Download original image
Comparison between different metallicity calibrators: P01 (left panel) and Z94 (right panel) vs. T04 for VIPERS (blue) and SDSS (orange) samples. We show the y = x line (dashed red line), our conversion polynomial from one calibrator to another (solid black line), and the conversion polynomial used by Kewley & Ellison (2008) to convert T04 into Z94 (dash-dotted green line).
Current usage metrics show cumulative count of Article Views (full-text article views including HTML views, PDF and ePub downloads, according to the available data) and Abstracts Views on Vision4Press platform.
Data correspond to usage on the plateform after 2015. The current usage metrics is available 48-96 hours after online publication and is updated daily on week days.
Initial download of the metrics may take a while.