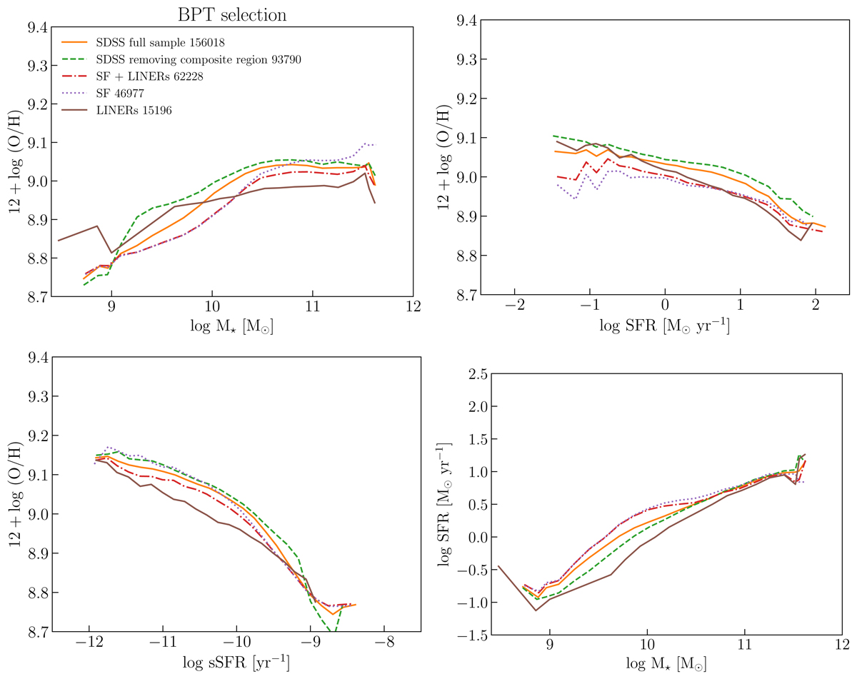
Fig. 5.

Download original image
Effects of BPT diagram choice on the projections of the FMR (full sample: orange solid line); SDSS removing completely the composite region (green dashed line); composite region defined by Eq. (5) (Lamareille 2010) (SF + LINERs, red dash-dotted line); SF of the composite region (purple dotted line); and LINERs of the composite region (brown solid line).
Current usage metrics show cumulative count of Article Views (full-text article views including HTML views, PDF and ePub downloads, according to the available data) and Abstracts Views on Vision4Press platform.
Data correspond to usage on the plateform after 2015. The current usage metrics is available 48-96 hours after online publication and is updated daily on week days.
Initial download of the metrics may take a while.