Open Access
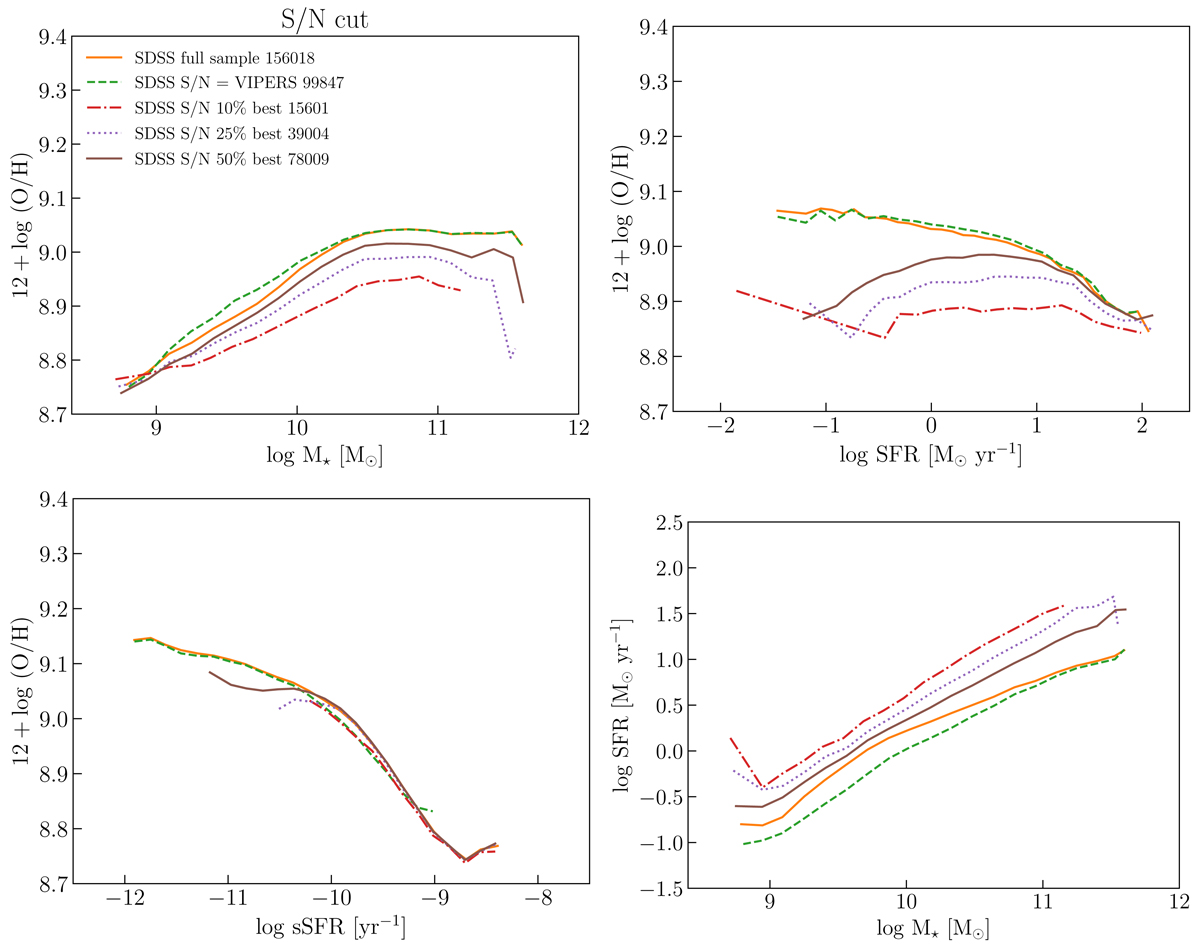
Fig. 6.

Download original image
Effects of S/N cuts of the emission lines on the projections of the FMR (full sample: orange solid line; S/N interval equal to VIPERS: green dashed line; 10% best: red dash-dotted line; 25% best, purple dotted line; 50% best: brown solid line).
Current usage metrics show cumulative count of Article Views (full-text article views including HTML views, PDF and ePub downloads, according to the available data) and Abstracts Views on Vision4Press platform.
Data correspond to usage on the plateform after 2015. The current usage metrics is available 48-96 hours after online publication and is updated daily on week days.
Initial download of the metrics may take a while.