Open Access

Fig. 1.

image

Download original image

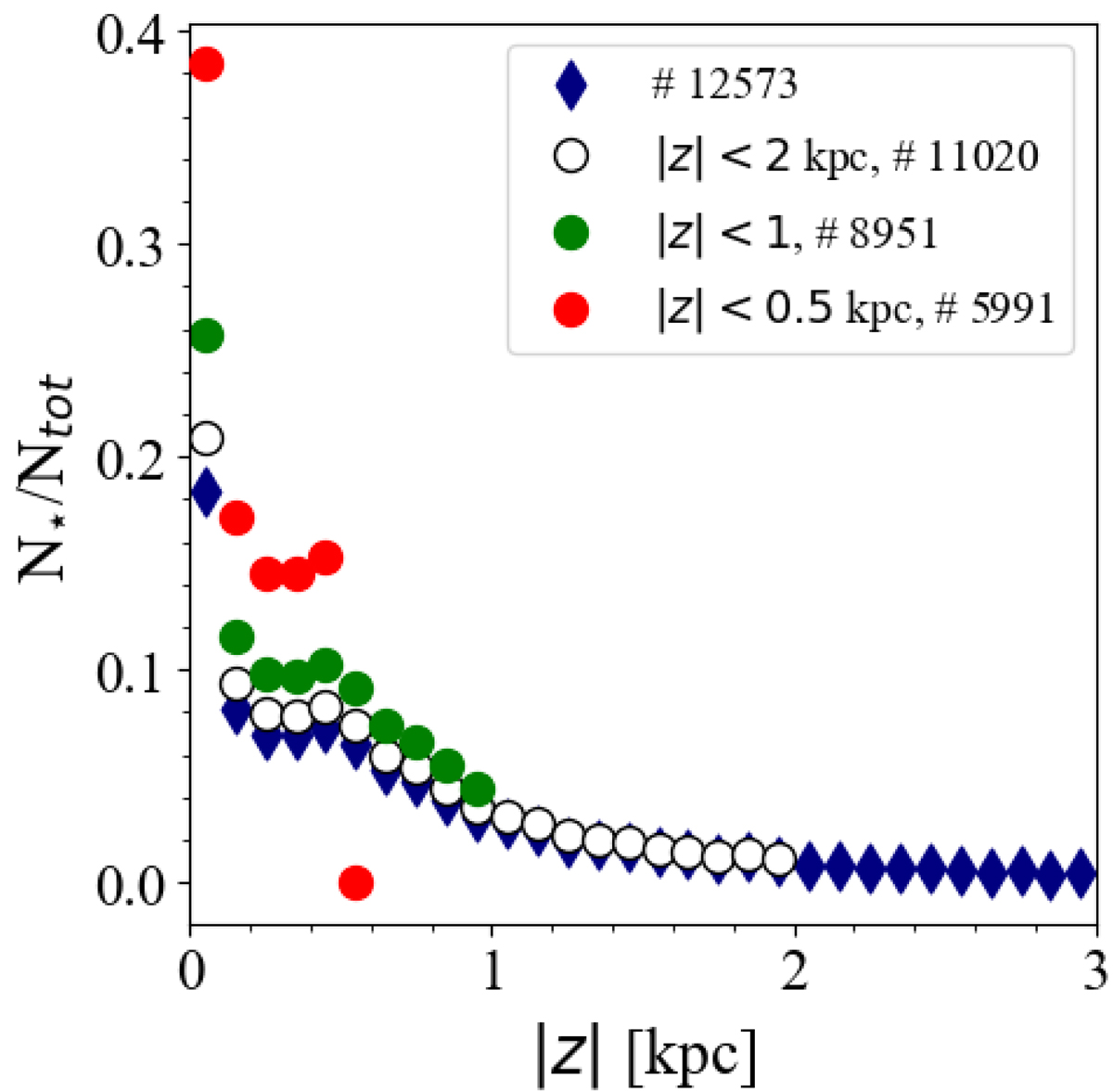
Normalised distributions of the vertical height |z| above the Galactic plane for APOGEE-DR16 adopting the selection cuts presented in Sect. 2. White, green, and red circles stand for distributions assuming |z|< 2 kpc, |z|< 1 kpc, and |z|< 0.5 kpc, respectively. The case without any cut in the vertical height is labelled with the blue diamonds. The respective total number of stars is also indicated.

Current usage metrics show cumulative count of Article Views (full-text article views including HTML views, PDF and ePub downloads, according to the available data) and Abstracts Views on Vision4Press platform.

Data correspond to usage on the plateform after 2015. The current usage metrics is available 48-96 hours after online publication and is updated daily on week days.

Initial download of the metrics may take a while.