Open Access

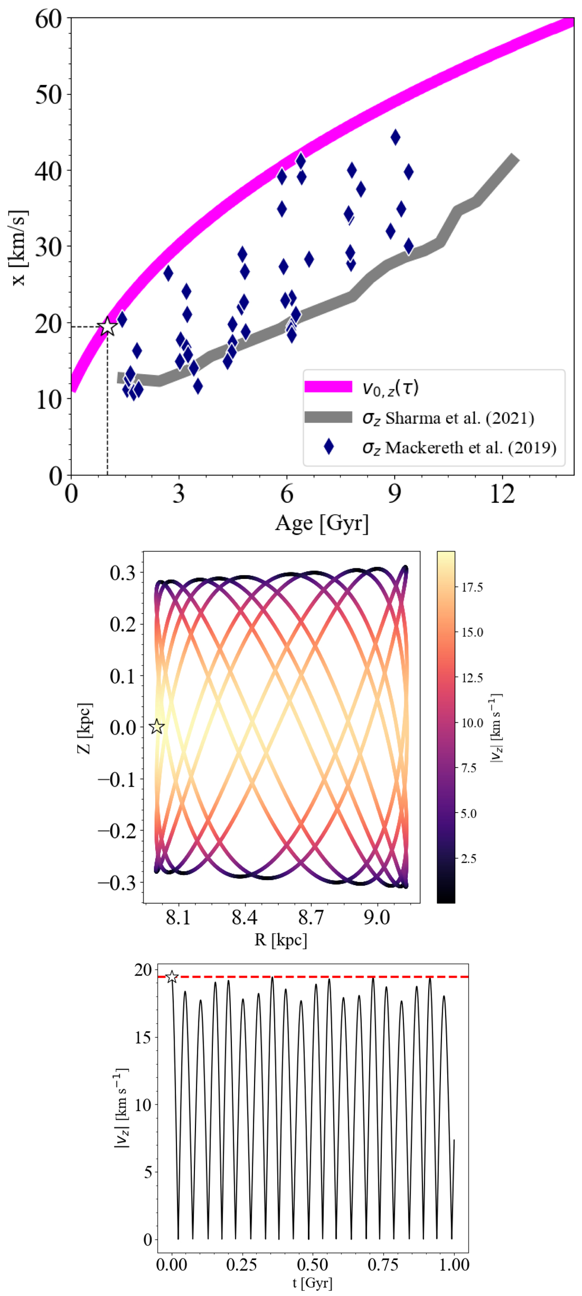
Fig. 3.

image

Download original image

The connection between the initial vertical velocity v0, z(τ) and the velocity dispersion σz. Upper panel: computed initial vertical velocity v0, z(τ) (which satisfies the condition of Eq. (4)) as a function of Galactic age τ for the SSPs born at different evolutionary times shown as the solid magenta line. Data for the age–velocity dispersion σz relation in the solar vicinity from Sharma et al. (2021) and Mackereth et al. (2019) are drawn with the grey line and diamond blue points, respectively. Middle panel: orbit in the meridional plane (R, Z) for the SSP born in the Galactic plane (z = 0 kpc) at 8 kpc (labelled with a star) at the Galactic time tB = tG − 1 Gyr and integrated for 1 Gyr. The colour-coding stands for the modulus of the vertical velocity component |vz|. Lower panel: the 1 Gyr evolution of the modulus of the vertical velocity component |vz| for the same SSP as the lower left panel. The starred symbol indicates the vertical velocity associated at birth v0, z(τ = 1 Gyr) (also indicated in the other panels with the same symbol) which also corresponds to the maximum value of the vertical velocity component |vz| (see red dashed horizontal line).

Current usage metrics show cumulative count of Article Views (full-text article views including HTML views, PDF and ePub downloads, according to the available data) and Abstracts Views on Vision4Press platform.

Data correspond to usage on the plateform after 2015. The current usage metrics is available 48-96 hours after online publication and is updated daily on week days.

Initial download of the metrics may take a while.