Fig. 2.

Download original image
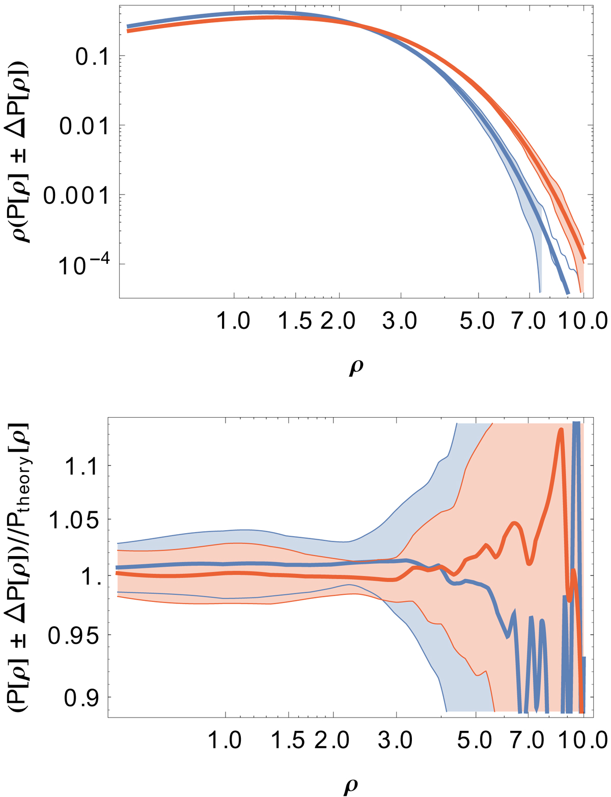
One-point density PDF obtained with top-hat filters compared with the theoretical predictions, Eq. (59). The values of are 0.8 and 1.09 for the blue and red curves, respectively, corresponding to two different values of l0. The bottom panel shows the residuals. Departure from theory might be due to binning and/or to the finite number of samples.
Current usage metrics show cumulative count of Article Views (full-text article views including HTML views, PDF and ePub downloads, according to the available data) and Abstracts Views on Vision4Press platform.
Data correspond to usage on the plateform after 2015. The current usage metrics is available 48-96 hours after online publication and is updated daily on week days.
Initial download of the metrics may take a while.