Fig. 9.

Download original image
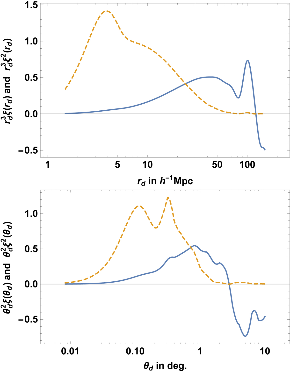
Scale dependence of the matter correlation functions for a realistic cosmological model (cosmological parameters derived from Plank, Planck Collaboration VI 2020) for the 3D density and the projected density (for a uniformly sampled survey with a depth of about 800 h−1Mpc between z = 0.75 and z = 1.25). The top panel shows (solid blue line) and
(dashed red line) for the 3D density field, and the bottom panel shows
and
for the projected density. In both cases, the average value of the first moment of the two-point correlation function is dominated by large-distance contributions, whereas short-distance contributions dominate the second moment, assuming survey sizes of about 100 h−1 Mpc or above.
Current usage metrics show cumulative count of Article Views (full-text article views including HTML views, PDF and ePub downloads, according to the available data) and Abstracts Views on Vision4Press platform.
Data correspond to usage on the plateform after 2015. The current usage metrics is available 48-96 hours after online publication and is updated daily on week days.
Initial download of the metrics may take a while.