Free Access

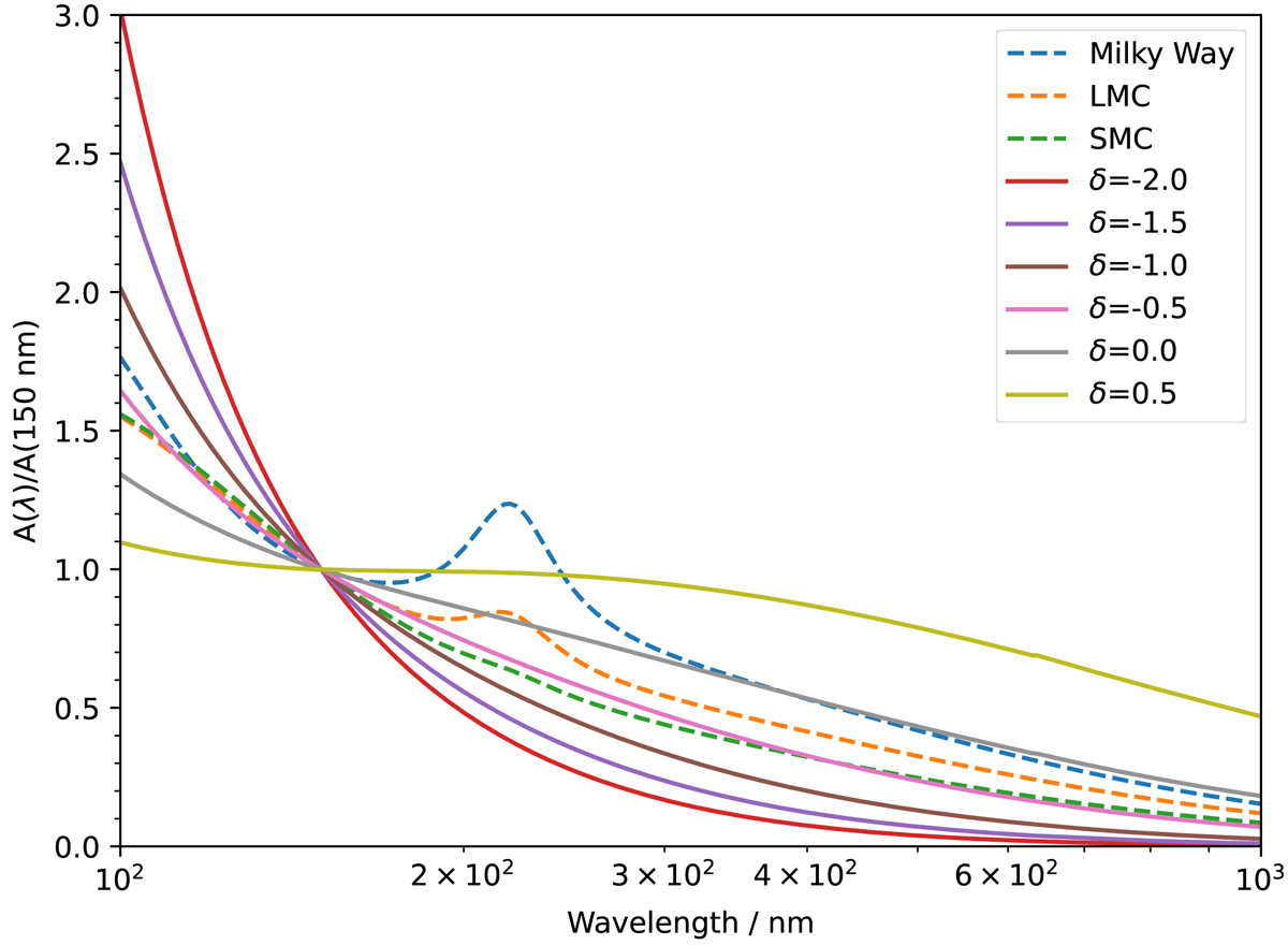
Fig. 1.

image

Download original image

Modified starburst attenuation curves normalized to 150 nm for different values of δ (solid lines). A starburst curve corresponds to δ = 0. The models include 101 curves ranging from δ = −2 to δ = 0.5. For comparison, we also plot the extinction curves of the Milky Way, the Large Magellanic Cloud, and the Small Magellanic Cloud (dashed lines).

Current usage metrics show cumulative count of Article Views (full-text article views including HTML views, PDF and ePub downloads, according to the available data) and Abstracts Views on Vision4Press platform.

Data correspond to usage on the plateform after 2015. The current usage metrics is available 48-96 hours after online publication and is updated daily on week days.

Initial download of the metrics may take a while.