Fig. 15.

Download original image
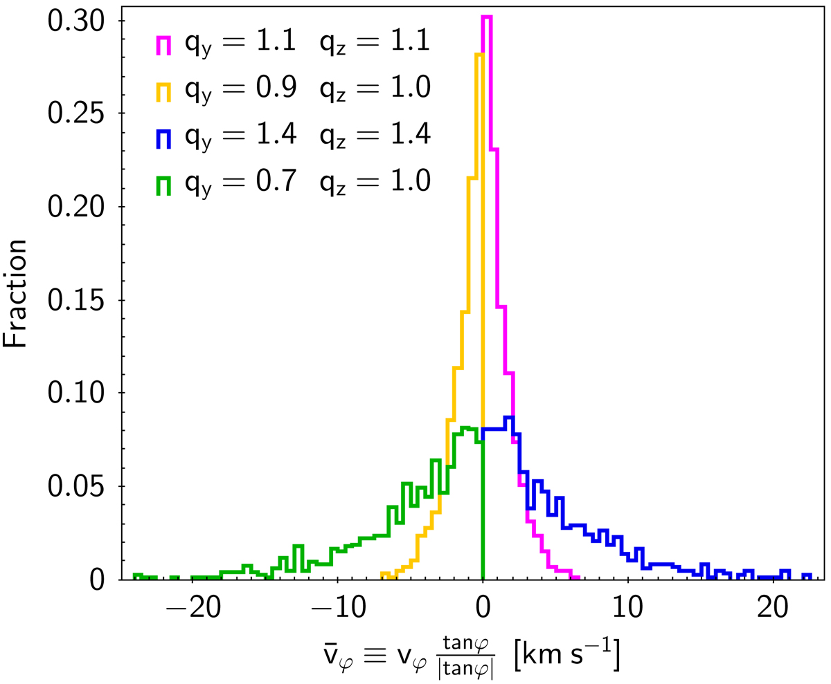
Distributions of for samples of HVSs that traveled in gravitational potentials whose DM halo has different triaxiality parameters. The use of the variable
instead of vφ enables us to easily distinguish distributions of azimuthal velocities generated in DM halos with the same geometry but whose semimajor axes a and b are swapped. The distributions were generated with the same initial conditions (mock catalogs A) to highlight the effect of the different geometries of the DM halo.
Current usage metrics show cumulative count of Article Views (full-text article views including HTML views, PDF and ePub downloads, according to the available data) and Abstracts Views on Vision4Press platform.
Data correspond to usage on the plateform after 2015. The current usage metrics is available 48-96 hours after online publication and is updated daily on week days.
Initial download of the metrics may take a while.