Fig. 2.

Download original image
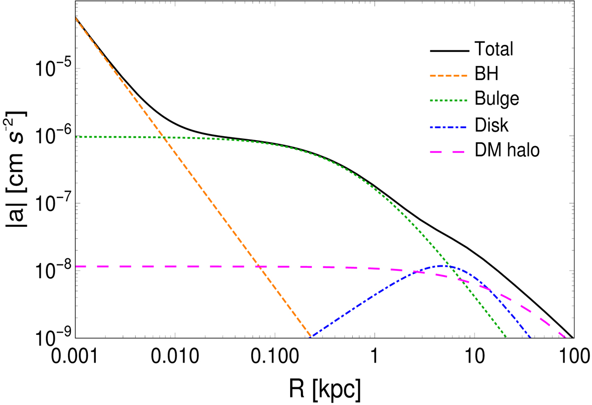
Magnitude of the radial gravitational acceleration in the plane of the disk due to our MW potential Φ (Eq. (1)), as a function of the radial cylindrical coordinate R. The solid black line represents the total gravitational acceleration. The dashed and dotted lines represent the contributions of the SMBH (dashed orange line), the bulge (dotted green line), the disk (dot-dashed blue line), and a spherical DM halo (long-dashed magenta line).
Current usage metrics show cumulative count of Article Views (full-text article views including HTML views, PDF and ePub downloads, according to the available data) and Abstracts Views on Vision4Press platform.
Data correspond to usage on the plateform after 2015. The current usage metrics is available 48-96 hours after online publication and is updated daily on week days.
Initial download of the metrics may take a while.