Open Access
Fig. 3.

Download original image
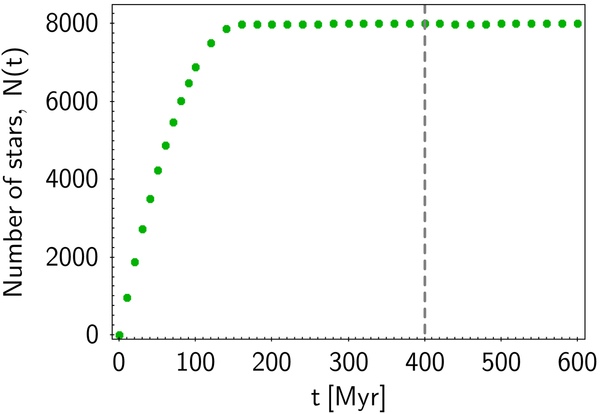
Number of living 4 M⊙ HVSs as a function of the time of observation. The ejection begins at t = 0 with a rate 10−4 yr−1. The number of living HVSs stops increasing beyond t ≃ τL = 160 Myr. The vertical dashed line marks the time of the steady state when we chose to observe the system, tobs = 400 Myr.
Current usage metrics show cumulative count of Article Views (full-text article views including HTML views, PDF and ePub downloads, according to the available data) and Abstracts Views on Vision4Press platform.
Data correspond to usage on the plateform after 2015. The current usage metrics is available 48-96 hours after online publication and is updated daily on week days.
Initial download of the metrics may take a while.