Fig. 5.

Download original image
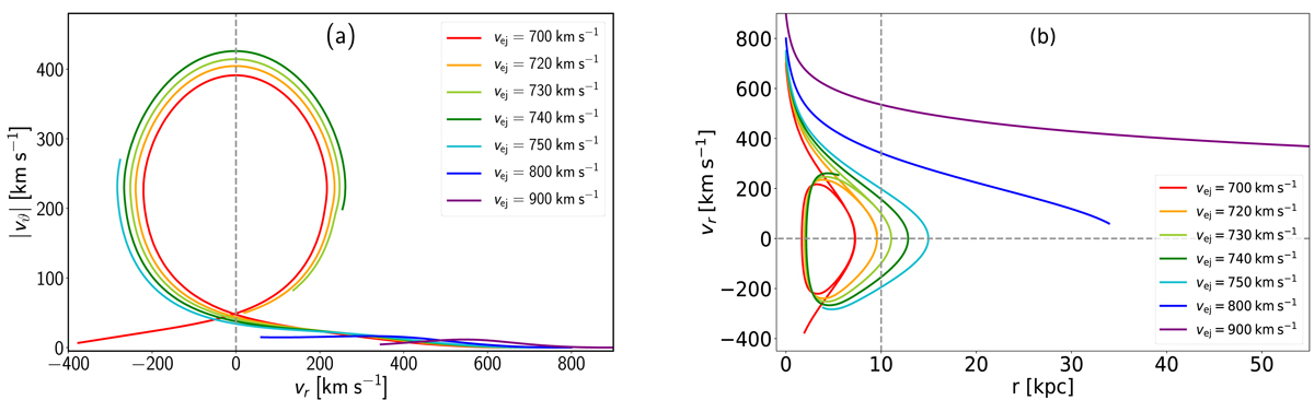
Kinematics of HVSs with different ejection speeds. Panel a: magnitude of the galactocentric latitudinal velocity, |vϑ|, as a function of the galactocentric radial velocity, vr, for HVSs ejected with different speeds, vej, and traveling in a spherical DM halo. Initially, the star velocity is purely radial, and |vϑ| = 0; as time goes on, |vϑ| becomes non-null due to the nonspherical potential of the Galactic disk (see Eq. (4)). For stars with lower ejection speeds (vej ≲ 800 km s−1), radial and angular dynamics are coupled: this coupling results in a fast growth of |vϑ| after the first turnaround of the star. However, such couplings are not manifested for stars with higher ejection speeds. Panel b: galactocentric radial velocity, vr, as a function of the galactocentric distance, r, for HVSs ejected radially outward with different ejection velocities, vej. The vertical dashed line of panel a and the horizontal dashed line of panel b correspond to vr = 0, while the vertical dashed line of panel b corresponds to r = 10 kpc. In both panels, HVSs are ejected in the direction with a travel time of 160 Myr, which is the largest possible travel time for a 4 M⊙ star.
Current usage metrics show cumulative count of Article Views (full-text article views including HTML views, PDF and ePub downloads, according to the available data) and Abstracts Views on Vision4Press platform.
Data correspond to usage on the plateform after 2015. The current usage metrics is available 48-96 hours after online publication and is updated daily on week days.
Initial download of the metrics may take a while.