Fig. 6.

Download original image
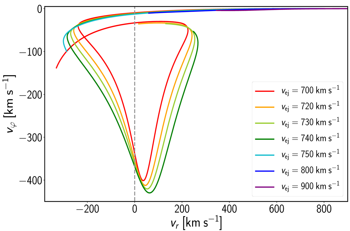
HVS galactocentric azimuthal velocity, vφ, as a function of the radial velocity, vr, for HVSs ejected with different speeds, vej, and traveling for 160 Myr. Here, the gravitational potential of the MW is non-axisymmetric, with a qy = 0.8 and qz = 1.0 DM halo potential. Initially, the star velocity is purely radial, and vφ = 0; as time goes on, vφ becomes non-null due to the DM halo asymmetry with respect to the z axis (see Eq. (5)). Radial and angular dynamics are coupled for stars with lower ejection speeds (vej ≲ 800 km s−1); these stars start acquiring significant vφ values after the outer turnaround. However, stars with larger ejection speeds die before this increase in vφ can happen. The dashed gray line corresponds to vr = 0.
Current usage metrics show cumulative count of Article Views (full-text article views including HTML views, PDF and ePub downloads, according to the available data) and Abstracts Views on Vision4Press platform.
Data correspond to usage on the plateform after 2015. The current usage metrics is available 48-96 hours after online publication and is updated daily on week days.
Initial download of the metrics may take a while.